主页
>
规范
>
低压二氧化碳灭火系统及部件 GB19572-2013
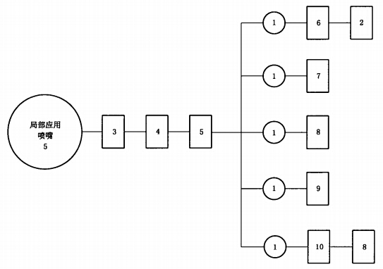
R.2 试验程序图
试验程序图如图R.1所示。
图R.1 喷嘴试验程序图
上一节:
R.1 试验程序说明
下一节:
附录S(规范性附录)信号反馈装置试验程序及样品数量
目录导航
更多
前言
1 范围
2 规范性引用文件
3 术语和定义
4 分类
5 型号编制
6 要求
6.1 系统
6.2 贮存装置
6.3 驱动装置
6.4 总控阀
6.5 选择阀
6.6 单向阀
6.7 喷嘴
6.8 信号反馈装置
6.9 控制器
6.10 分流管
7 试验方法
7.1 系统检查
7.2 液压强度试验
7.3 气密性试验
7.4 总控阀、充装阀、平衡阀、检修阀超压试验
7.5 动作压力试验
7.6 单向阀性能试验
7.7 盐雾腐蚀试验
7.8 工作可靠性试验
7.9 极限温度下动作可靠性试验
7.10 阀门等效长度测定
7.11 总控阀、选择阀操作性能试验
7.12 总控阀启闭时间、阀位指示与开关方向检査
7.13 单向阀性能试验
7.14 喷嘴性能试验
7.15 耐电压试验
7.16 绝缘电阻测定
7.17 触点接触电阻测定
7.18 压力表高低温试验
7.19 DPG压力表指针偏转平稳性检验
7.20 DPG压力表超负荷试验
7.21 制冷系统性能试验
7.22 高温运行和制冷能力试验
7.23 绝热层外层保护检查
7.24 高、低压力报警装置检查
7.25 保温绝热效果试验
7.26 控制器试验
8 检验规则
8.1 检验分类
8.2 试验程序
8.3 抽样方法
8.4 判定规则
9 标志、标签和使用说明书
9.1 标志和标签
9.2 使用说明书
附录A(规范性附录)系统试验程序及样品数量
A.1 试验程序说明
A.2 试验程序图
附录B(规范性附录)灭火剂贮存容器试验程序及取样数量
B.1 试验程序说明
B.2 试验程序图
附录C(规范性附录)充装阀、平衡阀、检修阀试验程序及取样数量
C.1 试验程序说明
C.2 试验程序图
附录D(规范性附录)安全阀试验程序及取样数量
D.1 试验程序说明
D.2 试验程序图
附录E(规范性附录)安全泄放膜片试验程序及取样数量
E.1 试验程序说明
E.2 试验程序图
附录F(规范性附录)压力开关试验程序及取样数量
F.1 试验程序说明
F.2 试验程序图
附录G(规范性附录)压力表试验程序及取样数量
G.1 试验程序说明
G.2 试验程序图
附录H(规范性附录)压力传感器试验程序及样品数量
H.1 试验程序说明
H.2 试验程序图
附录I(规范性附录)液位计试验程序及样品数量
I.1 试验程序说明
I.2 试验程序图
附录J(规范性附录)称重装置试验程序及样品数量
J.1 试验程序说明
J.2 试验程序图
附录K(规范性附录)制冷系统试验程序及样品数量
K.1 试验程序说明
K.2 试验程序图
附录L(规范性附录)贮存装置保温试验程序及样品数量
L.1 试验程序说明
L.2 试验程序图
附录M(规范性附录)报警装置的设置试验程序及样品数量
M.1 试验程序说明
M.2 试验程序图
附录N(规范性附录)总控阀试验程序及样品数量
N.1 试验程序说明
N.2 试验程序图
附录P(规范性附录)选择阀试验程序及样品数量
P.1 试验程序说明
P.2 试验程序图
附录Q(规范性附录)单向阀试验程序及样品数量
Q.1 试验程序说明
Q.2 试验程序图
附录R(规范性附录)喷嘴试验程序及样品数量
R.1 试验程序说明
R.2 试验程序图
附录S(规范性附录)信号反馈装置试验程序及样品数量
S.1 试验程序说明
S.2 试验程序图
附录T(规范性附录)控制器试验程序及样品数量
T.1 试验程序说明
T.2 试验程序图
附录U(规范性附录)分流管试验程序及样品数量
U.1 试验程序说明
U.2 试验程序图