C.3 计算书
本附录提供了四组公式。一组用于火的初发期单一的室内空间中蓄烟过程;其余三组用于稳态下通过机械排风或自然开口进行的烟气控制。
C.3.2 室内空间的蓄烟过程
C.3.2.1 公式在过程中的应用
如图C.1所示,烟在室内空间的上部累积,直到烟气层界面下移到垂直开口的上边缘为止。由于热膨胀,过量的空气被挤出室内空间。
注:这个前提在烟气层的底部位于开口上界面的以上位置时是成立的。当烟气层降低到开口上界面以下位置时,随着新鲜空气的进入,烟气会流出室内空间。
1——由于热膨胀而过量的空气;
2——底部面积。
图C.1 在蓄烟过程中的质量守恒
热释放速率见式(C.1):
C.3.2.2 界面位置
计算界面的位置[见式(C.4)和式(C.5)],以便在具有均匀密度的上层累积火羽流的质量流量。
注;为了计算界面位置,必须设定烟密度。在实际应用中,对大体积室内空间初期的蓄烟过程取ρs=1.0会得到保守的结果(见参考文献[5])。在稍后的蓄烟过程中,具有明显的热膨胀。在这种情况下,由参考文献[6]和[4]给出的下列公式适用于t2型即
=atn)。

其中:

烟气层温度Ts由式(C.9)计算得出。
C.3.2.3 烟气层温度
计算烟气层的温度[见式(C.8)),使得火释放的热量对体积为A(H-z)的烟气层加热。此时,可忽略室内空间界面的热量吸收。

注1:符号λ表示室内空间界面吸收的热量的份数。除非火羽流、烟气层和室内空间之间的辐射热交换相互叠加,否则,推荐设定λ=0,即所有的热量均用来加热烟气层。
注2:在实际应用中,对大体积室内空间初期的蓄烟过程取ρs=1.0会得到可接受的结果。
注3:在稍后的蓄烟过程中,当烟气层的热膨胀比较明显时,t2型火的烟气层温度由式(C.9)计算:

其中Λ和X由式(C.6)和式(C.7)计算得到。
C.3.2.4 特定的化学物的浓度
计算特定的化学物的浓度[见式(C.10)],使得生成物的质量在烟气层中均匀分布。

C.3.2.5 计算举例
——火源
=O.05t2(α=0.05kW/s2,n=2,D=1mm)位于图C.1所示的室内空间内;
——室内空间的底面面积A为100m2,
——室内空间高度H为8m,门的开口高度Hu为2m;
——假设辐射热所占份数X为0.333;
——忽略室内空间界面的热吸收(λ=0);
——CO2的产率η为7.61×10-5kg/kJ;
——计算界面高度、温度和60s时CO2的浓度。
采用式(C.4),界面高度为:

将结果带入式(C.8)和式(C.10),则界面温度和CO2的浓度为:

火焰高度必须低于界面的高度,火羽流的式(C.3)才适用。此例中,火焰的平均高度低于界面高度,这样:

该计算的依据为GB/T 31593.5-2015的附录B。
同样,烟气层高度、温度和CO2浓度计算示例见图C.2。为使公式有效,烟气层的底面必须高于火焰的平均高度和门的开口上边缘高度。该例在126s时平均火焰高度和烟气层高度近似相等,此时,

在142s,烟气层高度与门的开口上边缘高度近似相等,此时:

因此,该公式适用于126s之前的阶段。
图C.2中的计算有效范围为:A=100m2,H=8m,
=0.05t2,X=0.333,λ=0.0。粗线是根据式(C.4)、式(C.8)和式(C.10)的计算结果。细线是考虑烟气层的热膨胀而根据式(C.5)、式(C.9)和式(C.11)得出的计算结果。

说明:
X——时间,单位为分(min) ; 1——界面高度;
Y1——界面高度,单位为米(m) ; 2——无效范围(t>126s);
Y2——烟气层温度,单位为摄氏度(℃) ; 3——C02浓度;
Y3——CO2浓度,单位为千克每千克(kg/kg) ; 4——烟气层及32.2℃点。
图C.2 在室内空间的蓄烟过程中,界面高度、烟气层温度和CO2浓度的计算结果
C.3.3 通过机械排气系统进行烟气控制的稳态
C.3.3.1 公式适用的过程
如图C.3所示,在烟气控制状态下,烟通过机械排气系统排放。烟气层的性质通过产烟和排烟达到平衡的准稳态进行计算。假设室内空间边界面在较低的部分具有足够的开口能使空气容易流动并且公式中的热释放速率为常数,式(C.3)给出了火羽流的质量流速。把体积流速作为试验设计参数,排烟的质量流速用式(C.18)计算:

说明:
1——吸入空气;
2——排气系统。
图C.3 通过机械排气系统进行烟气控制的质量守恒

计算界面高度,使排烟的质量流速等于火羽流的质量流速。

C.3.3.2 界面位置
计算界面位置,使火羽流的质量流速等于排烟的质量流速。

注:为了计算界面位置,需要知道烟气层的密度(也就是温度),可以通过适当推测获得,或者结合下面提供的公式进行计算。
C.3.3.3 烟气层密度
烟气层密度由下式计算:

注:对大多数工程计算,烟气层近似为理想气体。烟气层的温度由下条的公式计算。
C.3.3.4 烟气层温度
计算烟气层温度,使烟气层的热流量等于排放和室内空间表面吸收的热量损失之和。

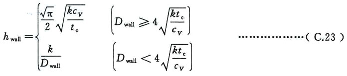
C.3.3.5 有效传热系数
有效传热系数的计算取决于室内空间边界面的建筑材料。传热既可近似为厚壁热行为(近似为半无限体)也可近似为薄壁热行为(近似薄材料稳态下的温度分布)。

注;特征时间tc通常取1000s。
C.3.3.6 特定化学物的浓度
计算特定化学物的浓度,使其产出速率等于排放速率。

C.3.3.7 计算示例
火源位于图C.3所示的室内空间中心,相关计算参数为:
——室内空间底面面积A为100m2(10m×10m);
——室内空间高度H为8m,火源的热释放速率
为300 kW;
——火源的热辐射份数x为0.333;
——火源直径D为1.0m;
——机械排气的体积流速
为4m3/s;
——室内空间边界面由100mm厚的混凝土板制成;
——混凝土的导热系数取k=0.0015 kW/(m·K),热容量cv=2026kJ/(m3·K);
——空气的参考温度T0为20℃(293 K),相对应的参考密度ρ0为1.205 kg/m3。
界面位置与温度的公式相关联,采用迭代法求解。计算出界面位置与温度后,可以直接计算物质的浓度。
1) 假设界面高度是室内空间高度的50%,即:

2) 由式(C.3)计算界面高度的火羽流质量流速:

3)由式(C.23)计算有效热传导系数:
假设室内空间边界面具有厚壁热行为,即:

因此,有效热传导系数为:

4) 由式(C.22)计算烟气层温度:


5) 由式(C.21)计算烟密度:

6) 由式(C.18)计算机械排气系统的质量流速:

7) 由式(C.20)校正界面高度,以便火羽流的质量流速等于排放的质量流速:

8) 重复步骤2)~7),直到火羽流的质量流速与排放的质量流速一致。此例中,经过3次迭代,得出以下满意结果:

9) 为了满足火羽流式(C.3),平均火焰高度必须小于界面高度。此例中,依据GB/T 31592.5-2015的附录B进行计算,结果符合要求。

10) 将已知值带入式(C.24)计算物质浓度。在通风良好的条件下,二氧化碳的产率η=7.61×10-5>kg/kJ。

C.3.4 水平开口稳态下的烟气控制
C.3.4.1 公式适用的过程
烟气由图C.4所示的自然开口排放。假设新鲜空气可流入室内空间底部,通过准稳态下热量和质量平衡来计算烟气层特性。质量流速的平衡由式(C.39)给出:

在这个公式中,假设热释放速率始终为常量。火羽流的质量流速在式(C.3)中给出,通过开口的质量流速按照GB/T 31593.8计算。

说明:
1——底面面积A;
a——Avent;
b——Aopen。
图C.4 水平开口烟气控制期间的质量守恒
C.3.4.2 界面位置
采用式(C.20)计算界面位置。
注:排放的质量流速由式(C.40)计算。
C.3.4.3 烟气层密度
采用式(C.21)计算烟气层密度。
C.3.4.4 烟气层温度
采用式(C.22)计算烟气层温度。
C.3.4.5 有效传热系数
采用式(C.23)计算有效传热系数。
C.3.4.6 通过水平开口排烟的质量流速
排烟的质量流速由开口流速的常规公式计算。

C.3.4.7 地板面的压差
地板面的压差由适用于较低开口流速的常规公式计算。

C.3.4.8 化学物的浓度
采用式(C.24)计算化学物的浓度Y。
C.3.4.9 计算举例
火源位于图C.4所示的室内空间内,相关计算参数为:
——室内空间地板面积A为100m2(10m×10m);室内空间高度H为8m;
——水平开口的面积Avent为2m2;
——较低的进气开口面积Aopen为4m2;
——火源的热释放速率Q为300kW;
——火源的热辐射份数x为0.333;
——CO2的产率为η为7.51×10-5kg/kJ;
——燃料直径D为1.0m;
——参考温度T0为20℃(293 K)。
室内空间界面由等同于示例C.3.3.7的混凝土制成。
界面位置与温度的公式相关联,采用迭代法求解。计算出界面位置与温度后,可以直接计算物质的浓度。
1) 假设界面高度是室内空间高度的50%,即:

2) 由式(C.3)计算界面高度的火羽流质量流速:

3) 采用和C.3.3.7的3)相同的步骤由式(C.23)计算有效热传导系数:

4) 由式(C.22)计算烟气层温度:

5) 由式(C.21)计算烟密度:

6) 由式(C.41)计算参考高度的压差:

7) 由式(C.40)计算通过水平开口的质量流速:

8) 由式(C.20)校正界面高度,以使火羽流的质量流速等于排放的质量流速:

注:为了数值的稳定性,在迭代计算中,式(C.20)中的排放质量流速m。由
代替。收敛后,依然保持质量平衡
。这一变更对量终结果没有影响。
9) 重复步骤2)~8),直到火羽流的质量流速与排放的质量流速一致,即
。此例中,经过4次迭代,得出以下满意结果:

10) 为了满足火羽流式(C.3),火焰高度必须小于界面高度。此例中,火焰的平均高度为1.28m,与C.3.3.7的9)相同。
11) 将上述7)中的结果带入式(C.24)计算物质浓度:

C.3.5 垂直开口稳态下的烟气控制
C.3.5.1 公式适用的过程
在烟气控制状态,烟气通过图C.5所示的垂直开口排放。假设新鲜空气从开口的下部流入,而烟气从开口的上部流出,烟气层的特性通过准稳态下烟/热的产生和排放/流出速率的平衡进行计算。在该公式中,假设热释放速率始终为常量。式(C.3)给出了火羽流的质量流速,通过开口的质量流速按照GB/T 31593.8计算。

说明:
1——底面面积A;
2——开口宽度B。
图C.5 垂直开口烟气控制期间的质量守恒
C.3.5.2 界面位置
采用式(C.20)计算界面位置。
注:该公式中,界面位置的计算是隐含的,它要满足稳态的质量平衡
,详见本条下面的示例。
C.3.5.3 烟气层密度
采用式(C.21)计算烟气层密度。
C.3.5.4 烟气层温度
采用式(C.22)计算烟气层温度。
C.3.5.5 有效传热系数
采用式(C.23)计算有效传热系数。
C.3.5,6 开口下部水平方向上的压差
计算开口下部水平方向上的压差,使物质排出速率
等于火羽流的质量流速
。

C.3.5.7 通过开口下部的空气质量流速
将式(C.55)计算出的压差带入,计算通过开口下部的空气质量流速。

C.3.5.8 特定化学物浓度
采用式(C.24)计算特定化学物浓度。
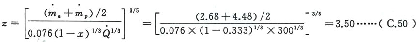
C.3.5.9 计算步骤和示例
火源位于图C.5所示的室内空间内,该空间具有垂直开口,相关计算参数为:
——室内空间地板面积A为100m2。;
——垂直开口的高度为5m,在地板上方1m处(H1=1m,Hu=6m);
——开口宽度B为4m;
——火源的热释放速率
为300 kW;
——火源的热辐射份数X为0.333;
——CO2的产率η为7.51×10-5kg/kJ;
——火源直径D为1.0m。
室内空间界面由等同于示例C.3.3.7的混凝土制成。
界面位置与温度的公式相关联,采用迭代法求解。计算出界面位置与温度后,可以直接计算物质的浓度。
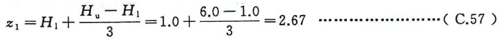
1) 假设界面高度的下限z1是整个开口高度的1/3:

2) 由式(C.3)计算界面高度的火羽流质量流速:

3) 采用和C.3.3.7的3)相同的步骤由式(C.23)计算有效热传导系数:

4) 由式(C.22)计算烟气层温度:

5) 由式(C.21)计算烟密度:

6) 由式(C.55)计算开口下部水平方向上的压差:

7) 由式(C.56)计算通过开口下部的空气质量流速:

8) 计算质量流速的误差:

9) 火羽流的质量流速应等于空气的质量流速。为了得到正确的结果,将界面高度取上限z2重复步骤2)~8)的计算。初算时,z2取开口高度的2/3:

采用上述界面高度,计算出以下结果:

这个假设的界面高度过高,致使压差为负值.这种情况下,没有空气进入室内空间:

注:对质量达到平衡的稳态,这种情况是不存在的.在迭代的过程中,当压差为负值时,
取零值,以满足质量平衡。
质量流速的误差为:

10) 在界面高度两次取值之间插入以下估算新值:

注:计算步骤如图C.6的虚线所示。
11) 重复步骤2)~8),计算z3值下质量流速的误差:

12) 由于
为负值,将式(C.71)中的z1值换成z3,重复步骤2)~11),直到
足够小。
在迭代过程中,如果
为正值,则用z3代替z2进行计算。此例中,共进行了7次迭代才得出如下所示的收数值:

注:如图C.6所示,最终结果为
(z)和
(z)的交差点开圆。
13) 为了满足火羽流式(C.3),火焰高度必须小于界面高度。此例中,火焰的平均高度为1.28m,与C.3.3.7的9)相同。
14) 将步骤12)中计算结果带入式(C.24),计算物质浓度:


说明:
X——界面高度z,单位为米(m);
Y——质量流速,单位为千克每秒(kg/s);
1——计算结果;
a——
;
b——
。
图C.6 垂直开口的烟气控制图解结果
- 上一节:C.2 物理现象的描述
- 下一节:C.4 计算公式的依据