C.1 直埋水平转角管段计算


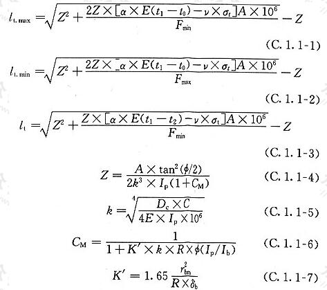
C.1.1 水平转角管段的过渡段长度应按下列公式计算(图C.1.1):
    当t1-t0>ΔTy时,取t1-t0=ΔTy
式中:lt.max——水平转角管段的过渡段最大长度(m);
      lt.min——水平转角管段的过渡段最小长度(m);
      lt——水平转角管段循环工作的过渡段长度(m);
      α——钢材的线膨胀系数[m/(m·℃)];
      E——钢材的弹性模量(MPa);
      t1——管道工作循环最高温度(℃);
      t0——管道计算安装温度(℃);
      t2——管道工作循环最低温度(℃);
      υ——钢材的泊松系数,取0.3;
      σt——管道内压引起的环向应力(MPa);
      A——工作管管壁的横截面积(m²);
      Fmin——单位长度最小摩擦力(N/m);
        ——转角管段的折角(弧度);
      Ip——直管工作管横截面的惯性矩(m4);
      Ib——弯头工作管横截面的惯性矩(m4);
      k——与土壤特性和管道刚度有关的参数(1/m);
      Dc——外护管外径(m);
      C——土壤横向压缩反力系数(N/m³);
      R——弯头的曲率半径(m);
      K′——弯头工作管柔性系数;
      δb——弯头工作管的公称壁厚(m);
      rbm——弯头工作管横截面的平均半径(m);
      Z、CM——计算系数。
水平转角管段示意图
图C.1.1 水平转角管段示意图
C.1.2 水平转角管段弯头弯矩变化范围计算应符合下列规定:
    1 水平转角管段的计算臂长lc1、lc2和平均计算臂长lcm应按下列方法确定:
式中:lcm——水平转角管段的平均计算臂长(m);
      lt——水平转角管段循环工作的过渡段长度(m);
      lc1、lc2——水平转角管段的计算臂长(m),当l1≥l2≥lt时,取lc1=lc2=lt;当l1≥lt≥l2时,取lc1=lt,lc2=l2;当lt≥l1≥l2时,取lc1=l1,lc2=l2;
      l1、l2——设计布置的转角管段两侧臂长(m)。
    2 弯头的弯矩变化范围应按下式计算:
式中:M——弯头的弯矩变化范围(N·m);
      α——钢材的线膨胀系数[m/(m·℃)];
      E——钢材的弹性模量(MPa);
      A——工作管管壁的横截面积(m²);
      t1——管道工作循环最高温度(℃);
      t2——管道工作循环最低温度(℃);
      Fmin——单位长度最小摩擦力(N/m);
      lcm——转角管段的平均计算臂长(m);
        ——转角管段的折角(°);
      Ip——直管工作管横截面的惯性矩(m4);
      k——与土壤特性和管道刚度有关的参数(1/m),按公式(C.1.1-5)计算;
      CM——计算系数,按公式(C.1.1-6)计算。
C.1.3 水平转角管段弯头的升温轴向力计算应符合下列规定:
    1 水平转角管段的计算臂长lc1、lc2和平均计算臂长lcm应按下列方法确定:
式中:l1、l2——设计布置的转角管段两侧臂长(m);
      lt.max——水平转角管段的过渡段最大长度(m);
      lc1、lc2——水平转角管段的计算臂长(m);当l1≥l2≥lt.max时,取lc1=lc2=lt.max;当l1≥lt.max≥l2时,取lc1=lt.max,lc2=l2;当lt.max≥l1≥l2时,取lc1=l1,lc2=l2;
      lcm——水平转角管段的平均计算臂长(m)。
    2 弯头的轴向力应按下列公式计算:
    当计算臂长lc1=lc2=lcm时:
式中:Nb——弯头两侧计算臂长相等时的轴向力(N);
      N1——弯头两侧计算臂长不等时,lc1侧的轴向力(N);
      N2——弯头两侧计算臂长不等时,lc2侧的轴向力(N);
      α——钢材的线膨胀系数[m/(m·℃)];
      E——钢材的弹性模量(MPa);
      A——工作管管壁的横截面积(m²);
      t0——管道计算安装温度(℃);
      t1——管道工作循环最高温度(℃);
      Fmin——单位长度最小摩擦力(N/m);
      lcm——转角管段的平均计算臂长(m);
        ——转角管段的折角(°);
      k——与土壤特性和管道刚度有关的参数(1/m),按公式(C.1.1-5)计算;
      Ip——直管工作管横截面的惯性矩(m4);
      lc1、lc2——转角管段的计算臂长(m);
      CM——计算系数,按公式(C.1.1-6)计算;
      JB、JQ、U、n1、n2——计算系数。

目录导航