9.4 检测数据分析与判定
9.4.1 检测承载力时选取锤击信号,宜取锤击能量较大的击次。
9.4.2 出现下列情况之一时,高应变锤击信号不得作为承载力分析计算的依据:
1. 传感器安装处混凝土开裂或出现严重塑性变形使力曲线最终未归零;
2. 严重锤击偏心,两侧力信号幅值相差超过1倍;
3. 四通道测试数据不全。
9.4.3 桩底反射明显时,桩身波速可根据速度波第一峰起升沿的起点到速度反射峰起升或下降沿的起点之间的时差与已知桩长值确定(图9.4.3);桩底反射信号不明显时,可根据桩长、混凝土波速的合理取值范围以及邻近桩的桩身波速值综合确定。

图9.4.3 桩身波速的确定
9.4.4 桩身材料弹性模量和锤击力信号的调整应符合下列规定:
1. 当测点处原设定波速随调整后的桩身波速改变时,相应的桩身材料弹性模量应按本规范式(9.3.2)重新计算;
2. 对于采用应变传感器测量应变并由应变换算冲击力的方式,当原始力信号按速度单位存储时,桩身材料弹性模量调整后尚应对原始实测力值校正;
3. 对于采用自由落锤安装加速度传感器实测锤击力的方式,当桩身材料弹性模量或桩身波速改变时,不得对原始实测力值进行调整,但应扣除响应传感器安装点以上的桩头惯性力影响。
9.4.5 高应变实测的力和速度信号第一峰起始段不成比例时,不得对实测力或速度信号进行调整。
9.4.6 承载力分析计算前,应结合地基条件、设计参数,对下列实测波形特征进行定性检查:
1. 实测曲线特征反映出的桩承载性状;
2.桩身缺陷程度和位置,连续锤击时缺陷的扩大或逐步闭合情况。
9.4.7 出现下列情况之一时,应采用静载试验方法进一步验证:
1. 桩身存在缺陷,无法判定桩的竖向承载力;
2. 桩身缺陷对水平承载力有影响;
3. 触变效应的影响,预制桩在多次锤击下承载力下降;
4. 单击贯入度大,桩底同向反射强烈且反射峰较宽,侧阻力波、端阻力波反射弱,波形表现出的桩竖向承载性状明显与勘察报告中的地基条件不符合;
5. 嵌岩桩桩底同向反射强烈,且在时间2L/c后无明显端阻力反射;也可采用钻芯法核验。
9.4.8 采用凯司法判定中、小直径桩的承载力,应符合下列规定:
1. 桩身材质、截面应基本均匀。
2. 阻尼系数Jc宜根据同条件下静载试验结果校核,或应在已取得相近条件下可靠对比资料后,采用实测曲线拟合法确定Jc值,拟合计算的桩数不应少于检测总桩数的30%,且不应少于3根。
3. 在同一场地、地基条件相近和桩型及其截面积相同情况下,Jc值的极差不宜大于平均值的30%。
4. 单桩承载力应按下列凯司法公式计算:

式中:Rc——凯司法单桩承载力计算值(kN);
Jc——凯司法阻尼系数;
t1——速度第一峰对应的时刻;
F(t1)——t1时刻的锤击力(kN);
V(t1)——t1时刻的质点运动速度(m/s);
Z——桩身截面力学阻抗(kN·s/m);
A——桩身截面面积(m2);
L——测点下桩长(m)。
5. 对于t1+2L/c时刻桩侧和桩端土阻力均已充分发挥的摩擦型桩,单桩竖向抗压承载力检测值可采用式(9.4.8-1)的计算值。
6. 对于土阻力滞后于t1+2L/c时刻明显发挥或先于t1+2L/c时刻发挥并产生桩中上部强烈反弹这两种情况,宜分别采用下列方法对式(9.4.8-1)的计算值进行提高修正,得到单桩竖向抗压承载力检测值:
1)将t1延时,确定Rc的最大值;
2)计入卸载回弹的土阻力,对Rc值进行修正。
9.4.9 采用实测曲线拟合法判定桩承载力,应符合下列规定:
1. 所采用的力学模型应明确、合理,桩和土的力学模型应能分别反映桩和土的实际力学性状,模型参数的取值范围应能限定;
2. 拟合分析选用的参数应在岩土工程的合理范围内;
3. 曲线拟合时间段长度在t1+2L/c时刻后延续时间不应小于20ms;对于柴油锤打桩信号,在t1+2L/c时刻后延续时间不应小于30ms;
4. 各单元所选用的土的最大弹性位移sq值不应超过相应桩单元的最大计算位移值;
5. 拟合完成时,土阻力响应区段的计算曲线与实测曲线应吻合,其他区段的曲线应基本吻合;
6. 贯入度的计算值应与实测值接近。
9.4.10 单桩竖向抗压承载力特征值Ra应按本方法得到的单桩竖向抗压承载力检测值的50%取值。
9.4.11 桩身完整性可采用下列方法进行判定:
1. 采用实测曲线拟合法判定时,拟合所选用的桩、土参数应符合本规范第9.4.9条第1~2款的规定;根据桩的成桩工艺,拟合时可采用桩身阻抗拟合或桩身裂隙以及混凝土预制桩的接桩缝隙拟合;
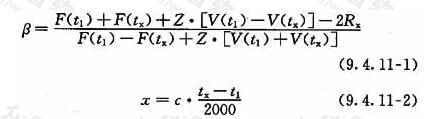
2. 等截面桩且缺陷深度x以上部位的土阻力Rx未出现卸载回弹时,桩身完整性系数β和桩身缺陷位置x应分别按下列公式计算,桩身完整性可按表9.4.11并结合经验判定。

式中:tx——缺陷反射峰对应的时刻(ms);
x——桩身缺陷至传感器安装点的距离(m);
Rx——缺陷以上部位土阻力的估计值,等于缺陷反射波起始点的力与速度乘以桩身截面力学阻抗之差值(图9.4.11);
β——桩身完整性系数,其值等于缺陷x处桩身截面阻抗与x以上桩身截面阻抗的比值。
表9.4.11 桩身完整性判定


图9.4.11 桩身完整性系数计算
9.4.12 出现下列情况之一时,桩身完整性宜按地基条件和施工工艺,结合实测曲线拟合法或其他检测方法综合判定:
1. 桩身有扩径;
2. 混凝土灌注桩桩身截面渐变或多变;
3. 力和速度曲线在第一峰附近不成比例,桩身浅部有缺陷;
4. 锤击力波上升缓慢;
5. 本规范第9.4.11条第2款的情况:缺陷深度x以上部位的土阻力Rx出现卸载回弹。
9.4.13 桩身最大锤击拉、压应力和桩锤实际传递给桩的能量,应分别按本规范附录G的公式进行计算。
9.4.4 高应变检测报告应给出实测的力与速度信号曲线。
9.4.15 检测报告除应包括本规范第3.5.3条规定的内容外,尚应包括下列内容:
1. 计算中实际采用的桩身波速值和Jc值;
2. 实测曲线拟合法所选用的各单元桩和土的模型参数、拟合曲线、土阻力沿桩身分布图;
3. 实测贯入度;
4. 试打桩和打桩监控所采用的桩锤型号、桩垫类型,以及监测得到的锤击数、桩侧和桩端静阻力、桩身锤击拉应力和压应力、桩身完整性以及能量传递比随入土深度的变化。
条文说明
9.4 检测数据分析与判定
9.4.1 从一阵锤击信号中选取分析用信号时,除要考虑有足够的锤击能量使桩周岩土阻力充分发挥外,还应注意下列问题:
1. 连续打桩时桩周土的扰动及残余应力;
2. 锤击使缺陷进一步发展或拉应力使桩身混凝土产生裂隙;
3. 在桩易打或难打以及长桩情况下,速度基线修正带来的误差;
4. 对桩垫过厚和柴油锤冷锤信号,因加速度测量系统的低频特性造成速度信号出现偏离基线的趋势项。
9.4.2 高质量的信号是得出可靠分析计算结果的基础。除柴油锤施打的长桩信号外,力的时程曲线应最终归零。对于混凝土桩,高应变测试信号质量不但受传感器安装好坏、锤击偏心程度和传感器安装面处混凝土是否开裂的影响,也受混凝土的不均匀性和非线性的影响。这些影响对采用应变式传感器测试、经换算得到的力信号尤其敏感。混凝土的非线性一般表现为:随应变的增加,割线模量减小,并出现塑性变形,使根据应变换算到的力值偏大且力曲线尾部不归零。本规范所指的锤击偏心相当于两侧力信号之一与力平均值之差的绝对值超过平均值的33%。通常锤击偏心很难避免,因此严禁用单侧力信号代替平均力信号。
9.4.3 桩身平均波速也可根据下行波起升沿的起点和上行波下降沿的起点之间的时差与已知桩长值确定。对桩底反射峰变宽或有水平裂缝的桩,不应根据峰与峰间的时差来确定平均波速。桩较短且锤击力波上升缓慢时,可采用低应变法确定平均波速。
9.4.4 通常,当平均波速按实测波形改变后,测点处的原设定波速也按比例线性改变,弹性模量则应按平方的比例关系改变。当采用应变式传感器测力时,多数仪器并非直接保存实测应变值,如有些是以速度(V=c·ε)的单位存储。若弹性模量随波速改变后,仪器不能自动修正以速度为单位存储的力值,则应对原始实测力值校正。注意:本条所说的“力值校正”与本规范第9.4.5条所禁止的“比例失调时”的随意调整是截然不同的两种行为。
对于锤上安装加速度计的测力方式,由于力值F是按牛顿第二定律F=mrar(式中mr和ar分别为锤体的质量和锤体的加速度)直接测量得到的,因此不存在对实测力值进行校正的问题。F仅代表作用在桩顶的力,而分析计算则需要在桩顶下安装测量响应加速度计横截面上的作用力,所以需要考虑测量响应加速度计以上的桩头质量产生的惯性力,对实测桩顶力值修正。
9.4.5 通常情况下,如正常施打的预制桩,力和速度信号在第一峰处应基本成比例,即第一峰处的F值与V·Z值基本相等(见图9.4.3)。但在以下几种不成比例(比例失调)的情况下属于正常:
1. 桩浅部阻抗变化和土阻力影响;
2. 采用应变式传感器测力时,测点处混凝土的非线性造成力值明显偏高;
3. 锤击力波上升缓慢或桩很短时,土阻力波或桩底反射波的影响。
信号随意比例调整均是对实测信号的歪曲,并产生虚假的结果。如通过放大实测力或速度进行比例调整的后果是计算承载力不安全。因此,为保证信号真实性,禁止将实测力或速度信号重新标定。这一点必须引起重视,因为有些仪器具有比例自动调整功能。
9.4.6 高应变分析计算结果的可靠性高低取决于动测仪器、分析软件和人员素质三个要素。其中起决定作用的是具有坚实理论基础和丰富实践经验的高素质检测人员。高应变法之所以有生命力,表现在高应变信号不同于随机信号的可解释性——即使不采用复杂的数学计算和提炼,只要检测波形质量有保证,就能定性地反映桩的承载性状及其他相关的动力学问题。因此对波形的正确定性解释的重要性超过了软件建模分析计算本身,对人员的要求首先是解读波形,其次才是熟练使用相关软件。增强波形正确判读能力的关键是提高人员的素质,仅靠技术规范以及仪器和软件功能的增强是无法做到的。因此,承载力分析计算前,应有高素质的检测人员对信号进行定性检查和判断。
9.4.7 当出现本条所述五款情况时,因高应变法难于分析判定承载力和预示桩身结构破坏的可能性,建议进行验证检测。本条第4、5款反映的代表性波形见图8,波形反映出的桩承载性状与设计条件不符(基本无侧阻、端阻反射,桩顶最大动位移11.7mm,贯入度6mm~8mm)。原因解释参见本规范第9.3.4条的条文说明。由图9可见,静载验证试验尚未压至破坏,但高应变测试的锤重符合要求,贯入度表明承载力已“充分”发挥。当采用波形拟合法分析承载力时,由于承载力比按勘察报告估算的低很多,除采用直接法验证外,不能主观臆断或采用能使拟合的承载力大幅提高的桩-土模型及其参数。

图8 灌注桩高应变实测波形
注:Φ800mm钻孔灌注桩,桩端持力层为全风化花岗片麻岩,测点下桩长16m。采用60kN重锤,先做高应变检测;后做静载验证检测。

图9 静载和动载模拟的Q-s曲线
1-静载曲线;2-动测曲线
9.4.8 凯司法与实测曲线拟合法在计算承载力上的本质区别是:前者在计算极限承载力时,单击贯入度与最大位移是参考值,计算过程与它们无关。另外,凯司法承载力计算公式是基于以下三个假定推导出的:
1. 桩身阻抗基本恒定;
2. 动阻力只与桩底质点运动速度成正比,即全部动阻力集中于桩端;
3. 土阻力在时刻t2=t1+2L/c已充分发挥。
显然,它较适用于摩擦型的中、小直径预制桩和截面较均匀的灌注桩。
公式中的唯一未知数——凯司法无量纲阻尼系数Jc定义为仅与桩端土性有关,一般遵循随土中细粒含量增加阻尼系数增大的规律。Jc的取值是否合理在很大程度上决定了计算承载力的准确性。所以,缺乏同条件下的静动对比校核或大量相近条件下的对比资料时,将使其使用范围受到限制。当贯入度达不到规定值或不满足上述三个假定时,Jc值实际上变成了一个无明确意义的综合调整系数。特别值得一提的是灌注桩,也会在同一工程、相同桩型及持力层时,可能出现Jc取值变异过大的情况。为防止凯司法的不合理应用,规定应采用静动对比或实测曲线拟合法校核Jc值。
由于式(9.4.8-1)给出的Rc值与位移无关,仅包含t2=t1+2L/c时刻之前所发挥的土阻力信息,通常除桩长较短的摩擦型桩外,土阻力在2L/c时刻不会充分发挥,尤以端承型桩显著。所以,需要采用将t1延时求出承载力最大值的最大阻力法(RMX法),对与位移相关的土阻力滞后2L/c发挥的情况进行提高修正。
桩身在2L/c之前产生较强的向上回弹,使桩身从顶部逐渐向下产生土阻力卸载(此时桩的中下部土阻力属于加载)。这对于桩较长、侧阻力较大而荷载作用持续时间相对较短的桩较为明显。因此,需要采用将桩中上部卸载的土阻力进行补偿提高修正的卸载法(RSU法)。
RMX法和RSU法判定承载力,体现了高应变法波形分析的基本概念——应充分考虑与位移相关的土阻力发挥状况和波传播效应,这也是实测曲线拟合法的精髓所在。另外,凯司法还有几种子方法可在积累了成熟经验后采用,它们是:
1. 在桩尖质点运动速度为零时,动阻力也为零,此时有两种与Jc无关的计算承载力“自动”法,即RAU法和RA2法。前者适用于桩侧阻力很小的情况,后者适用于桩侧阻力适中的场合。
2. 通过延时求出承载力最小值的最小阻力法(RMN法)。
9.4.9 实测曲线拟合法是通过波动问题数值计算,反演确定桩和土的力学模型及其参数值。其过程为:假定各桩单元的桩和土力学模型及其模型参数,利用实测的速度(或力、上行波、下行波)曲线作为输入边界条件,数值求解波动方程,反算桩顶的力(或速度、下行波、上行波)曲线。若计算的曲线与实测曲线不吻合,说明假设的模型及参数不合理,有针对性地调整模型及参数再行计算,直至计算曲线与实测曲线(以及贯入度的计算值与实测值)的吻合程度良好且不易进一步改善为止。虽然从原理上讲,这种方法是客观唯一的,但由于桩、土以及它们之间的相互作用等力学行为的复杂性,实际运用时还不能对各种桩型、成桩工艺、地基条件,都能达到十分准确地求解桩的动力学和承载力问题的效果。所以,本条针对该法应用中的关键技术问题,作了具体阐述和规定:
1. 关于桩与土模型: (1)目前已有成熟使用经验的土的静阻力模型为理想弹-塑性或考虑土体硬化或软化的双线性模型;模型中有两个重要参数——土的极限静阻力Ru和土的最大弹性位移sq,可以通过静载试验(包括桩身内力测试)来验证。在加载阶段,土体变形小于或等于sq时,土体在弹性范围工作;变形超过sq后,进入塑性变形阶段(理想弹-塑性时,静阻力达到Ru后不再随位移增加而变化)。对于卸载阶段,同样要规定卸载路径的斜率和弹性位移限。(2)土的动阻力模型一般习惯采用与桩身运动速度成正比的线性粘滞阻尼,带有一定的经验性,且不易直接验证。(3)桩的力学模型一般为一维杆模型,单元划分应采用等时单元(实际为特征线法求解的单元划分模式),即应力波通过每个桩单元的时间相等,由于没有高阶项的影响,计算精度高。(4)桩单元除考虑A、E、c等参数外,也可考虑桩身阻尼和裂隙。另外,也可考虑桩底的缝隙、开口桩或异形桩的土塞、残余应力影响和其他阻尼形式。(5)所用模型的物理力学概念应明确,参数取值应能限定;避免采用可使承载力计算结果产生较大变异的桩-土模型及其参数。
2. 拟合时应根据波形特征,结合施工和地基条件合理确定桩土参数取值。因为拟合所用的桩土参数的数量和类型繁多,参数各自和相互间耦合的影响非常复杂,而拟合结果并非唯一解,需通过综合比较判断进行参数选取或调整。正确选取或调整的要点是参数取值应在岩土工程的合理范围内。
3. 本款考虑两点原因:一是自由落锤产生的力脉冲持续时间通常不超过20ms(除非采用很重的落锤),但柴油锤信号在主峰过后的尾部仍能产生较长的低幅值延续;二是与位移相关的总静阻力一般会不同程度地滞后于2L/c发挥,当端承型桩的端阻力发挥所需位移很大时,土阻力发挥将产生严重滞后,因此规定2L/c后延时足够的时间,使曲线拟合能包含土阻力响应区段的全部土阻力信息。
4. 为防止土阻力未充分发挥时的承载力外推,设定的sq值不应超过对应单元的最大计算位移值。若桩、土间相对位移不足以使桩周岩土阻力充分发挥,则给出的承载力结果只能验证岩土阻力发挥的最低程度。
5. 土阻力响应区是指波形上呈现的静土阻力信息较为突出的时间段。所以本条特别强调此区段的拟合质量,避免只重波形头尾,忽视中间土阻力响应区段拟合质量的错误做法,并通过合理的加权方式计算总的拟合质量系数,突出土阻力响应区段拟合质量的影响。
6. 贯入度的计算值与实测值是否接近,是判断拟合选用参数、特别是sq值是否合理的辅助指标。
9.4.10 高应变法动测承载力检测值(见第3.5.2条的条文说明)多数情况下不会与静载试验桩的明显破坏特征或产生较大的桩顶沉降相对应,总趋势是沉降量偏小。为了与静载的极限承载力相区别,称为本方法得到的承载力检测值或动测承载力。需要指出:本次修订取消了验收检测中对单桩承载力进行统计平均的规定。单桩静载试验常因加荷量或设备能力限制,试桩达不到极限承载力,不论是否取平均,只要一组试桩有一根桩的极限承载力达不到特征值的2倍,结论就是不满足设计要求。动测承载力则不同,可能出现部分桩的承载力远高于承载力特征值的2倍,即使个别桩的承载力不满足设计要求,但“高”和“低”取平均后仍可能满足设计要求。所以,本章修订取消了通过算术平均进行承载力统计取值的规定,以规避高估承载力的风险。
9.4.11 高应变法检测桩身完整性具有锤击能量大,可对缺陷程度定量计算,连续锤击可观察缺陷的扩大和逐步闭合情况等优点。但和低应变法一样,检测的仍是桩身阻抗变化,一般不宜判定缺陷性质。在桩身情况复杂或存在多处阻抗变化时,可优先考虑用实测曲线拟合法判定桩身完整性。
式(9.4.11-1)适用于截面基本均匀桩的桩顶下第一个缺陷的程度定量计算。当有轻微缺陷,并确认为水平裂缝(如预制桩的接头缝隙)时,裂缝宽度δw可按下式计算:

当满足本条第2款“等截面桩”和“土阻力未卸载回弹”的条件时,β值计算公式为解析解,即β值测试属于直接法,在结果的可信度上,与属于半直接法的高应变法检测判定承载力是不同的。“土阻力未卸载回弹”限制条件是指:当土阻力Rx先于t1+2x/c时刻发挥并产生桩中上部明显反弹时,x以上桩段侧阻提前卸载造成Rx被低估,β计算值被放大,不安全,因此公式(9.4.11-1)不适用。此种情况多在长桩存在深部缺陷时出现。
9.4.12 对于本条第1~2款情况,宜采用实测曲线拟合法分析桩身扩径、桩身截面渐变或多变的情况,但应注意合理选择土参数。
高应变法锤击的荷载上升时间通常在1ms~3ms范围,因此对桩身浅部缺陷的定位存在盲区,不能定量给出缺陷的具体部位,也无法根据式(9.4.11-1)来判定缺陷程度,只能根据力和速度曲线不成比例的情况来估计浅部缺陷程度;当锤击力波上升缓慢时,可能出现力和速度曲线不成比例的似浅部阻抗变化情况,但不能排除土阻力的耦合影响。对浅部缺陷桩,宜用低应变法检测并进行缺陷定位。
9.4.13 桩身锤击拉应力是混凝土预制桩施打抗裂控制的重要指标。在深厚软土地区,打桩初始阶段侧阻和端阻虽小,但桩很长,桩锤能正常爆发起跳(高幅值锤击压应力是产生强拉应力的必要条件),桩底反射回来的上行拉力波的头部(拉应力幅值最大)与下行传播的锤击压力波尾部叠加,在桩身某一部位产生净的拉应力。当拉应力强度超过混凝土抗拉强度时,引起桩身拉裂。开裂部位一般发生在桩的中上部,且桩愈长或锤击力持续时间愈短,最大拉应力部位就愈往下移。当桩进入硬土层后,随着打桩阻力的增加拉应力逐步减小,桩身压应力逐步增加,如果桩在易打情况下已出现拉应力水平裂缝,渐强的压应力在已有裂缝处产生应力集中,使裂缝处混凝土逐渐破碎并最终导致桩身断裂。
入射压力波遇桩身截面阻抗增大时,会引起小阻抗桩身压应力放大,桩身可能出现下列破坏形态:表面纵向裂缝、保护层脱落、主筋压曲外凸、混凝土压碎崩裂。例如:打桩过程中桩端碰上硬层(基岩、孤石、漂石等)表现出的突然贯入度骤减或拒锤,继续施打会造成桩身压应力过大而破坏。此时,最大压应力出现在接近桩端的部位。
9.4.4 本条解释同本规范第8.4.8条。