7.2 安全绳破断强度和延伸率测试
7.2.1 按附录A规定的方法进行破断强度和延伸率测试,拉伸速度为100mm/min。
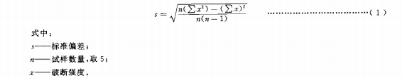
7.2.2 安全绳最小破断强度的计算方法:5段试样破断强度的平均值减去3倍的标准偏差即为绳索的最小破断强度。标准偏差的计算公式如下:
7.2.3 安全绳延伸率为5段试样延伸率的平均值。
7.2.2 安全绳最小破断强度的计算方法:5段试样破断强度的平均值减去3倍的标准偏差即为绳索的最小破断强度。标准偏差的计算公式如下:
- 上一节:7.1 外观和加工质量检查
- 下一节:7.3 耐高温性能试验