6.2 正截面承载力计算
(Ⅰ)正截面承载力计算的一般规定
6.2.1 正截面承载力应按下列基本假定进行计算:
1 截面应变保持平面。
2 不考虑混凝土的抗拉强度。
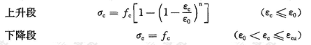
3 混凝土受压的应力与应变关系按下列规定取用:


6.2.1 正截面承载力应按下列基本假定进行计算:
1 截面应变保持平面。
2 不考虑混凝土的抗拉强度。
3 混凝土受压的应力与应变关系按下列规定取用:


6.2.5 偏心受压构件的正截面承载力计算时,应计入轴向压力在偏心方向存在的附加偏心距ea,其值应取20mm和偏心方向截面最大尺寸的1/30两者中的较大值。
6.2.6 受弯构件、偏心受力构件正截面承载力计算时,受压区混凝土的应力图形可简化为等效的矩形应力图。
矩形应力图的受压区高度x可取截面应变保持平面的假定所确定的中和轴高度乘以系数β1。当混凝土强度等级不超过C50时,β1取为0.80,当混凝土强度等级为C80时,β1取为0.74,其间按线性内插法确定。
矩形应力图的应力值可由混凝土轴心抗压强度设计值fc乘以系数α1确定。当混凝土强度等级不超过C50时,α1取为1.0,当混凝土强度等级为C80时,α1取为0.94,其间按线性内插法确定。
矩形应力图的受压区高度x可取截面应变保持平面的假定所确定的中和轴高度乘以系数β1。当混凝土强度等级不超过C50时,β1取为0.80,当混凝土强度等级为C80时,β1取为0.74,其间按线性内插法确定。
矩形应力图的应力值可由混凝土轴心抗压强度设计值fc乘以系数α1确定。当混凝土强度等级不超过C50时,α1取为1.0,当混凝土强度等级为C80时,α1取为0.94,其间按线性内插法确定。
6.2.7 纵向受拉钢筋屈服与受压区混凝土破坏同时发生时的相对界限受压区高度ζb应按下列公式计算:
1 钢筋混凝土构件
有屈服点普通钢筋
1 钢筋混凝土构件
有屈服点普通钢筋
式中:ζb——相对界限受压区高度,取xb/h0;
xb——界限受压区高度;
h0——截面有效高度:纵向受拉钢筋合力点至截面受压边缘的距离;
ES——钢筋弹性模量,按本规范表4.2.5采用;
σp0——受拉区纵向预应力筋合力点处混凝土法向应力等于零时的预应力筋应力,按本规范公式(10.1. 6—3)或公式(10.1.6—6)计算;
εcu——非均匀受压时的混凝土极限压应变,按本规范公式(6.2.1—5)计算;
β1——系数,按本规范第6.2.6条的规定计算。
注:当截面受拉区内配置有不同种类或不同预应力值的钢筋时,受弯构件的相对界限受压区高度应分别计算,并取其较小值。
6.2.8 纵向钢筋应力应按下列规定确定:
1 纵向钢筋应力宜按下列公式计算:
xb——界限受压区高度;
h0——截面有效高度:纵向受拉钢筋合力点至截面受压边缘的距离;
ES——钢筋弹性模量,按本规范表4.2.5采用;
σp0——受拉区纵向预应力筋合力点处混凝土法向应力等于零时的预应力筋应力,按本规范公式(10.1. 6—3)或公式(10.1.6—6)计算;
εcu——非均匀受压时的混凝土极限压应变,按本规范公式(6.2.1—5)计算;
β1——系数,按本规范第6.2.6条的规定计算。
注:当截面受拉区内配置有不同种类或不同预应力值的钢筋时,受弯构件的相对界限受压区高度应分别计算,并取其较小值。
6.2.8 纵向钢筋应力应按下列规定确定:
1 纵向钢筋应力宜按下列公式计算:
6.2.9 矩形、I形、T形截面构件的正截面承载力可按本节规定计算;任意截面、圆形及环形截面构件的正截面承载力可按本规范附录E的规定计算。
(Ⅱ) 正截面受弯承载力计算
6.2.10 矩形截面或翼缘位于受拉边的倒T形截面受弯构件,其正截面受弯承载力应符合下列规定(图6.2.10):



按上述公式计算T形、I形截面受弯构件时,混凝土受压区高度仍应符合本规范公式(6.2.10—3)和公式(6.2.10—4)的要求。
6.2.12 T形、I形及倒L形截面受弯构件位于受压区的翼缘计算宽度 可按本规范表5.2.4所列情况中的最小值取用。
6.2.10 矩形截面或翼缘位于受拉边的倒T形截面受弯构件,其正截面受弯承载力应符合下列规定(图6.2.10):



按上述公式计算T形、I形截面受弯构件时,混凝土受压区高度仍应符合本规范公式(6.2.10—3)和公式(6.2.10—4)的要求。
6.2.12 T形、I形及倒L形截面受弯构件位于受压区的翼缘计算宽度 可按本规范表5.2.4所列情况中的最小值取用。
6.2.13 受弯构件正截面受弯承载力计算应符合本规范公式(6.2.10—3)的要求。当由构造要求或按正常使用极限状态验算要求配置的纵向受拉钢筋截面面积大于受弯承载力要求的配筋面积时,按本规范公式(6.2.10—2)或公式(6.2.11—3)计算的混凝土受压区高度x,可仅计入受弯承载力条件所需的纵向受拉钢筋截面面积。
6.2.14 当计算中计入纵向普通受压钢筋时,应满足本规范公式(6.2.10—4)的条件;当不满足此条件时,正截面受弯承载力应符合下列规定:


式中:fyv——间接钢筋的抗拉强度设计值,按本规范第4.2.3条的规定采用;6.2.14 当计算中计入纵向普通受压钢筋时,应满足本规范公式(6.2.10—4)的条件;当不满足此条件时,正截面受弯承载力应符合下列规定:


Acor——构件的核心截面面积,取间接钢筋内表面范围内的混凝土截面面积;
Asso——螺旋式或焊接环式间接钢筋的换算截面面积;
dcor——构件的核心截面直径,取间接钢筋内表面之间的距离;
Assl——螺旋式或焊接环式单根间接钢筋的截面面积;
s——间接钢筋沿构件轴线方向的间距;
α——间接钢筋对混凝土约束的折减系数:当混凝土强度等级不超过C50时,取1.0,当混凝土强度等级为C80时,取0.85,其间按线性内插法确定。
注:1 按公式(6.2.16—1)算得的构件受压承载力设计值不应大于按本规范公式(6.2.15)算得的构件受压承载力设计值的1.5倍;
2 当遇到下列任意一种情况时,不应计入间接钢筋的影响,而应按本规范第6.2.15条的规定进行计算:
1)当l0/d>12时;
2)当按公式(6.2.16—1)算得的受压承载力小于按本规范公式(6.2.15)算得的受压承载力时;
3)当间接钢筋的换算截面面积Asso小于纵向普通钢筋的全部截面面积的25%时。
6.2.17 矩形截面偏心受压构件正截面受压承载力应符合下列规定(图6.2.17):





6. 2. 20 轴心受压和偏心受压柱的计算长度l0可按下列规定确定:
1 刚性屋盖单层房屋排架柱、露天吊车柱和栈桥柱,其计算长度l0可按表6. 2. 20—1取用。
1 刚性屋盖单层房屋排架柱、露天吊车柱和栈桥柱,其计算长度l0可按表6. 2. 20—1取用。
注:1 表中H为从基础顶面算起的柱子全高;Hl为从基础顶面至装配式吊车梁底面或现浇式吊车梁顶面的柱子下部高度;Hu为从装配式吊车梁底面或从现浇式吊车梁顶面算起的柱子上部高度;
2 表中有吊车房屋排架柱的计算长度,当计算中不考虑吊车荷载时,可按无吊车房屋柱的计算长度采用,但上柱的计算长度仍可按有吊车房屋采用;
3 表中有吊车房屋排架柱的上柱在排架方向的计算长度,仅适用于Hu/Hl不小于0.3的情况;当Hu/Hl小于0.3时,计算长度宜采用2.5Hu。
2 表中有吊车房屋排架柱的计算长度,当计算中不考虑吊车荷载时,可按无吊车房屋柱的计算长度采用,但上柱的计算长度仍可按有吊车房屋采用;
3 表中有吊车房屋排架柱的上柱在排架方向的计算长度,仅适用于Hu/Hl不小于0.3的情况;当Hu/Hl小于0.3时,计算长度宜采用2.5Hu。
2 一般多层房屋中梁柱为刚接的框架结构,各层柱的计算长度l0可按表6.2.20—2取用。
注:表中H为底层柱从基础顶面到一层楼盖顶面的高度;对其余各层柱为上下两层楼盖顶面之间的高度。
6.2.21 对截面具有两个互相垂直的对称轴的钢筋混凝土双向偏心受压构件(图6.2.21),其正截面受压承载力可选用下列两种方法之一进行计算:

构件的偏心受压承载力设计值Nux,可按下列情况计算:
1)当纵向普通钢筋沿截面两对边配置时,Nux可按本规范第6.2.17条或第6.2.18条的规定进行计算,但应取等号,将N以Nux代替。
2)当纵向普通钢筋沿截面腹部均匀配置时,Nux可按本规范第6.2.19条的规定进行计算,但应取等号,将N以Nux代替。
构件的偏心受压承载力设计值Nuy可采用与Nux相同的方法计算。
(Ⅳ)正截面受拉承载力计算
6.2.22 轴心受拉构件的正截面受拉承载力应符合下列规定:
N≤fyAs+fpyAp (6.2.22)
式中:N——轴向拉力设计值;
As、Ap——纵向普通钢筋、预应力筋的全部截面面积。
6.2.23 矩形截面偏心受拉构件的正截面受拉承载力应符合下列规定:
1 小偏心受拉构件


6.2.24 沿截面腹部均匀配置纵向普通钢筋的矩形、T形或I形截面钢筋混凝土偏心受拉构件,其正截面受拉承载力应符合本规范公式(6.2.25—1)的规定,式中正截面受弯承载力设计值Mu可按本规范公式(6.2.19—1)和公式(6.2.19—2)进行计算,但应取等号,同时应分别取N为0和以Mu代替Nei。
6.2.25 对称配筋的矩形截面钢筋混凝土双向偏心受拉构件,其正截面受拉承载力应符合下列规定:
1 小偏心受拉构件


6.2.24 沿截面腹部均匀配置纵向普通钢筋的矩形、T形或I形截面钢筋混凝土偏心受拉构件,其正截面受拉承载力应符合本规范公式(6.2.25—1)的规定,式中正截面受弯承载力设计值Mu可按本规范公式(6.2.19—1)和公式(6.2.19—2)进行计算,但应取等号,同时应分别取N为0和以Mu代替Nei。
6.2.25 对称配筋的矩形截面钢筋混凝土双向偏心受拉构件,其正截面受拉承载力应符合下列规定:
条文说明
6.2 正截面承载力计算
6.2.1 本条对正截面承载力计算方法作了基本假定。
1 平截面假定
试验表明,在纵向受拉钢筋的应力达到屈服强度之前及达到屈服强度后的一定塑性转动范围内,截面的平均应变基本符合平截面假定。因此,按照平截面假定建立判别纵向受拉钢筋是否屈服的界限条件和确定屈服之前钢筋的应力σs是合理的。平截面假定作为计算手段,即使钢筋已达屈服,甚至进入强化段时,也还是可行的,计算值与试验值符合较好。
引用平截面假定可以将各种类型截面(包括周边配筋截面)在单向或双向受力情况下的正截面承载力计算贯穿起来,提高了计算方法的逻辑性和条理性,使计算公式具有明确的物理概念。引用平截面假定也为利用电算进行混凝土构件正截面全过程分析(包括非线性分析)提供了必不可少的截面变形条件。
国际上的主要规范,均采用了平截面假定。
2 混凝土的应力-应变曲线
随着混凝土强度的提高,混凝土受压时的应力-应变曲线将逐渐变化,其上升段将逐渐趋向线性变化,且对应于峰值应力的应变稍有提高;下降段趋于变陡,极限应变有所减少。为了综合反映低、中强度混凝土和高强混凝土的特性,与02版规范相同,本规范对正截面设计用的混凝土应力-应变关系采用如下简化表达形式:
根据国内中、低强度混凝土和高强度混凝土偏心受压短柱的试验结果,在条文中给出了有关参数:n、ε0、εcu的取值,与试验结果较为接近。
3 纵向受拉钢筋的极限拉应变
纵向受拉钢筋的极限拉应变本规范规定为0.01,作为构件达到承载能力极限状态的标志之一。对有物理屈服点的钢筋,该值相当于钢筋应变进入了屈服台阶;对无屈服点的钢筋,设计所用的强度是以条件屈服点为依据的。极限拉应变的规定是限制钢筋的强化强度,同时,也表示设计采用的钢筋的极限拉应变不得小于0.01,以保证结构构件具有必要的延性。对预应力混凝土结构构件,其极限拉应变应从混凝土消压时的预应力筋应力σp0处开始算起。
对非均匀受压构件,混凝土的极限压应变达到εcu或者受拉钢筋的极限拉应变达到0.01,即这两个极限应变中只要具备其中一个,就标志着构件达到了承载能力极限状态。
6.2.2 本条的规定同02版规范。
6.2.3 轴向压力在挠曲杆件中产生的二阶效应(P—δ效应)是偏压杆件中由轴向压力在产生了挠曲变形的杆件内引起的曲率和弯矩增量。例如在结构中常见的反弯点位于柱高中部的偏压构件中,这种二阶效应虽能增大构件除两端区域外各截面的曲率和弯矩,但增大后的弯矩通常不可能超过柱两端控制截面的弯矩。因此,在这种情况下,P—δ效应不会对杆件截面的偏心受压承载能力产生不利影响。但是,在反弯点不在杆件高度范围内(即沿杆件长度均为同号弯矩)的较细长且轴压比偏大的偏压构件中,经P—δ效应增大后的杆件中部弯矩有可能超过柱端控制截面的弯矩。此时,就必须在截面设计中考虑P—δ效应的附加影响。因后一种情况在工程中较少出现,为了不对各个偏压构件逐一进行验算,本条给出了可以不考虑P—δ效应的条件。该条件是根据分析结果并参考国外规范给出的。
6.2.4 本条给出了在偏压构件中考虑P—δ效应的具体方法,即Cm—ηns法。该方法的基本思路与美国ACI 318-08规范所用方法相同。其中ηns使用中国习惯的极限曲率表达式。该表达式是借用02版规范偏心距增大系数η的形式,并作了下列调整后给出的:
1 考虑本规范所用钢材强度总体有所提高,故将02版规范η公式中反映极限曲率的“1/1400”改为“1/1300”。
2 根据对P—δ效应规律的分析,取消了02版规范η公式中在细长度偏大情况下减小构件挠曲变形的系数ζ2。
本条Cm系数的表达形式与美国ACI 318-08规范所用形式相似,但取值略偏高,这是根据我国所做的系列试验结果,考虑钢筋混凝土偏心压杆P—δ效应规律的较大离散性而给出的。
对剪力墙、核心筒墙肢类构件,由于P—δ效应不明显,计算时可以忽略。对排架结构柱,当采用本规范第B.0.4条的规定计算二阶效应后,不再按本条规定计算P—δ效应;当排架柱未按本规范第B.0.4条计算其侧移二阶效应时,仍应按本规范第B.0.4条考虑其P—δ效应。
6.2.5 由于工程中实际存在着荷载作用位置的不定性、混凝土质量的不均匀性及施工的偏差等因素,都可能产生附加偏心距。
很多国家的规范中都有关于附加偏心距的具体规定,因此参照国外规范的经验,规定了附加偏心距ea的绝对值与相对值的要求,并取其较大值用于计算。
6.2.6 在承载力计算中,可采用合适的压应力图形,只要在承载力计算上能与可靠的试验结果基本符合。为简化计算,本规范采用了等效矩形压应力图形,此时,矩形应力图的应力取fc乘以系数α1,矩形应力图的高度可取等于按平截面假定所确定的中和轴高度xn乘以系数β1。对中低强度混凝土,当n=2,ε0=0.002,εcu=0.0033时,α1=0.969,β1=0.824;为简化计算,取α1=1.0,β1=0.8。对高强度混凝土,用随混凝土强度提高而逐渐降低的系数α1、β1值来反映高强度混凝土的特点,这种处理方法能适应混凝土强度进一步提高的要求,也是多数国家规范采用的处理方法。上述的简化计算与试验结果对比大体接近。应当指出,将上述简化计算的规定用于三角形截面、圆形截面的受压区,会带来一定的误差。
6.2.7 构件达到界限破坏是指正截面上受拉钢筋屈服与受压区混凝土破坏同时发生时的破坏状态。对应于这一破坏状态,受压边混凝土应变达到εcu;对配置有屈服点钢筋的钢筋混凝土构件,纵向受拉钢筋的应变取fy/ES。界限受压区高度xb与界限中和轴高xnb的比值为β1,根据平截面假定,可得截面相对界限受压区高度ζb的公式(6.2.7—1)。
对配置无屈服点钢筋的钢筋混凝土构件或预应力混凝土构件,根据条件屈服点的定义,应考虑0.2%的残余应变,普通钢筋应变取(fy/ES+0.002)、预应力筋应变取[(fpy-σp0)/ES+0.002]。根据平截面假定,可得公式(6.2.7—2)和公式(6.2.7—3)。
无屈服点的普通钢筋通常是指细规格的带肋钢筋,无屈服点的特性主要取决于钢筋的轧制和调直等工艺。在钢筋标准中,有屈服点钢筋的屈服强度以σs表示,无屈服点钢筋的屈服强度以σp0.2表示。
6.2.8 钢筋应力σs的计算公式,是以混凝土达到极限压应变εcu作为构件达到承载能力极限状态标志而给出的。
按平截面假定可写出截面任意位置处的普通钢筋应力σsi的计算公式(6.2.8—1)和预应力筋应力σpi的计算公式(6.2.8—2)。
为了简化计算,根据我国大量的试验资料及计算分析表明,小偏心受压情况下实测受拉边或受压较小边的钢筋应力σs与ζ接近直线关系。考虑到ζ=ζb及ζ=β1作为界限条件,取σs与ζ之间为线性关系,就可得到公式(6.2.8—3)、公式(6.2.8—4)。
按上述线性关系式,在求解正截面承载力时,一般情况下为二次方程。
6.2.9 在02版规范中,将圆形、圆环形截面混凝土构件的正截面承载力列在正文,本次修订将圆形截面、圆环形截面与任意截面构件的正截面承载力计算一同列入附录。
6.2.10~6.2.14 保留02版规范的实用计算方法。
构件中如无纵向受压钢筋或不考虑纵向受压钢筋时,不需要符合公式(6.2.10—4)的要求。
6.2.15 保留了02版规范的规定。为保持与偏心受压构件正截面承载力计算具有相近的可靠度,在正文公式(6.2.15)右端乘以系数0.9。
02版规范第7.3.11条规定的受压构件计算长度l0主要适用于有侧移受偏心压力作用的构件,不完全适用于上下端有支点的轴心受压构件。对于上下端有支点的轴心受压构件,其计算长度l0可偏安全地取构件上下端支点之间距离的1.1倍。
3 纵向受拉钢筋的极限拉应变
纵向受拉钢筋的极限拉应变本规范规定为0.01,作为构件达到承载能力极限状态的标志之一。对有物理屈服点的钢筋,该值相当于钢筋应变进入了屈服台阶;对无屈服点的钢筋,设计所用的强度是以条件屈服点为依据的。极限拉应变的规定是限制钢筋的强化强度,同时,也表示设计采用的钢筋的极限拉应变不得小于0.01,以保证结构构件具有必要的延性。对预应力混凝土结构构件,其极限拉应变应从混凝土消压时的预应力筋应力σp0处开始算起。
对非均匀受压构件,混凝土的极限压应变达到εcu或者受拉钢筋的极限拉应变达到0.01,即这两个极限应变中只要具备其中一个,就标志着构件达到了承载能力极限状态。
6.2.2 本条的规定同02版规范。
6.2.3 轴向压力在挠曲杆件中产生的二阶效应(P—δ效应)是偏压杆件中由轴向压力在产生了挠曲变形的杆件内引起的曲率和弯矩增量。例如在结构中常见的反弯点位于柱高中部的偏压构件中,这种二阶效应虽能增大构件除两端区域外各截面的曲率和弯矩,但增大后的弯矩通常不可能超过柱两端控制截面的弯矩。因此,在这种情况下,P—δ效应不会对杆件截面的偏心受压承载能力产生不利影响。但是,在反弯点不在杆件高度范围内(即沿杆件长度均为同号弯矩)的较细长且轴压比偏大的偏压构件中,经P—δ效应增大后的杆件中部弯矩有可能超过柱端控制截面的弯矩。此时,就必须在截面设计中考虑P—δ效应的附加影响。因后一种情况在工程中较少出现,为了不对各个偏压构件逐一进行验算,本条给出了可以不考虑P—δ效应的条件。该条件是根据分析结果并参考国外规范给出的。
6.2.4 本条给出了在偏压构件中考虑P—δ效应的具体方法,即Cm—ηns法。该方法的基本思路与美国ACI 318-08规范所用方法相同。其中ηns使用中国习惯的极限曲率表达式。该表达式是借用02版规范偏心距增大系数η的形式,并作了下列调整后给出的:
1 考虑本规范所用钢材强度总体有所提高,故将02版规范η公式中反映极限曲率的“1/1400”改为“1/1300”。
2 根据对P—δ效应规律的分析,取消了02版规范η公式中在细长度偏大情况下减小构件挠曲变形的系数ζ2。
本条Cm系数的表达形式与美国ACI 318-08规范所用形式相似,但取值略偏高,这是根据我国所做的系列试验结果,考虑钢筋混凝土偏心压杆P—δ效应规律的较大离散性而给出的。
对剪力墙、核心筒墙肢类构件,由于P—δ效应不明显,计算时可以忽略。对排架结构柱,当采用本规范第B.0.4条的规定计算二阶效应后,不再按本条规定计算P—δ效应;当排架柱未按本规范第B.0.4条计算其侧移二阶效应时,仍应按本规范第B.0.4条考虑其P—δ效应。
6.2.5 由于工程中实际存在着荷载作用位置的不定性、混凝土质量的不均匀性及施工的偏差等因素,都可能产生附加偏心距。
很多国家的规范中都有关于附加偏心距的具体规定,因此参照国外规范的经验,规定了附加偏心距ea的绝对值与相对值的要求,并取其较大值用于计算。
6.2.6 在承载力计算中,可采用合适的压应力图形,只要在承载力计算上能与可靠的试验结果基本符合。为简化计算,本规范采用了等效矩形压应力图形,此时,矩形应力图的应力取fc乘以系数α1,矩形应力图的高度可取等于按平截面假定所确定的中和轴高度xn乘以系数β1。对中低强度混凝土,当n=2,ε0=0.002,εcu=0.0033时,α1=0.969,β1=0.824;为简化计算,取α1=1.0,β1=0.8。对高强度混凝土,用随混凝土强度提高而逐渐降低的系数α1、β1值来反映高强度混凝土的特点,这种处理方法能适应混凝土强度进一步提高的要求,也是多数国家规范采用的处理方法。上述的简化计算与试验结果对比大体接近。应当指出,将上述简化计算的规定用于三角形截面、圆形截面的受压区,会带来一定的误差。
6.2.7 构件达到界限破坏是指正截面上受拉钢筋屈服与受压区混凝土破坏同时发生时的破坏状态。对应于这一破坏状态,受压边混凝土应变达到εcu;对配置有屈服点钢筋的钢筋混凝土构件,纵向受拉钢筋的应变取fy/ES。界限受压区高度xb与界限中和轴高xnb的比值为β1,根据平截面假定,可得截面相对界限受压区高度ζb的公式(6.2.7—1)。
对配置无屈服点钢筋的钢筋混凝土构件或预应力混凝土构件,根据条件屈服点的定义,应考虑0.2%的残余应变,普通钢筋应变取(fy/ES+0.002)、预应力筋应变取[(fpy-σp0)/ES+0.002]。根据平截面假定,可得公式(6.2.7—2)和公式(6.2.7—3)。
无屈服点的普通钢筋通常是指细规格的带肋钢筋,无屈服点的特性主要取决于钢筋的轧制和调直等工艺。在钢筋标准中,有屈服点钢筋的屈服强度以σs表示,无屈服点钢筋的屈服强度以σp0.2表示。
6.2.8 钢筋应力σs的计算公式,是以混凝土达到极限压应变εcu作为构件达到承载能力极限状态标志而给出的。
按平截面假定可写出截面任意位置处的普通钢筋应力σsi的计算公式(6.2.8—1)和预应力筋应力σpi的计算公式(6.2.8—2)。
为了简化计算,根据我国大量的试验资料及计算分析表明,小偏心受压情况下实测受拉边或受压较小边的钢筋应力σs与ζ接近直线关系。考虑到ζ=ζb及ζ=β1作为界限条件,取σs与ζ之间为线性关系,就可得到公式(6.2.8—3)、公式(6.2.8—4)。
按上述线性关系式,在求解正截面承载力时,一般情况下为二次方程。
6.2.9 在02版规范中,将圆形、圆环形截面混凝土构件的正截面承载力列在正文,本次修订将圆形截面、圆环形截面与任意截面构件的正截面承载力计算一同列入附录。
6.2.10~6.2.14 保留02版规范的实用计算方法。
构件中如无纵向受压钢筋或不考虑纵向受压钢筋时,不需要符合公式(6.2.10—4)的要求。
6.2.15 保留了02版规范的规定。为保持与偏心受压构件正截面承载力计算具有相近的可靠度,在正文公式(6.2.15)右端乘以系数0.9。
02版规范第7.3.11条规定的受压构件计算长度l0主要适用于有侧移受偏心压力作用的构件,不完全适用于上下端有支点的轴心受压构件。对于上下端有支点的轴心受压构件,其计算长度l0可偏安全地取构件上下端支点之间距离的1.1倍。
6.2.16 保留了02版规范的规定。根据国内外的试验结果,当混凝土强度等级大于C50时,间接钢筋混凝土的约束作用将会降低,为此,在混凝土强度等级为C50~C80的范围内,给出折减系数α值。基于与第6.2.15条相同的理由,在公式(6.2.16—1)右端乘以系数0.9。
6.2.17 矩形截面偏心受压构件:
1 对非对称配筋的小偏心受压构件,当偏心距很小时,为了防止As产生受压破坏,尚应按公式(6.2.17—5)进行验算,此处引入了初始偏心距ei=e0-ea,这是考虑了不利方向的附加偏心距。计算表明,只有当N>fcbh时,钢筋As的配筋率才有可能大于最小配筋率的规定。
2 对称配筋小偏心受压的钢筋混凝土构件近似计算方法:
当应用偏心受压构件的基本公式(6.2.17—1)、公式(6.2.17—2)及公式(6.2.8—1)求解对称配筋小偏心受压构件承载力时,将出现ζ的三次方程。第6.2.17条第4款的简化公式是取
,使求解ζ的方程降为一次方程,便于直接求得小偏压构件所需的配筋面积。同理,上述简化方法也可扩展用于T形和I形截面的构件。
3 本次对偏心受压构件二阶效应的计算方法进行了修订,即除排架结构柱以外,不再采用η-l0法。新修订的方法主要希望通过计算机进行结构分析时一并考虑由结构侧移引起的二阶效应。为了进行截面设计时内力取值的一致性,当需要利用简化计算方法计算由结构侧移引起的二阶效应和需要考虑杆件自身挠曲引起的二阶效应时,也应先按照附录B的简化计算方法和按照第6.2.3条和第6.2.4条的规定进行考虑二阶效应的内力计算。
即在进行截面设计时,其内力已经考虑了二阶效应。
6.2.18 给出了I形截面偏心受压构件正截面受压承载力计算公式,对T形、倒T形截面则可按条文注的规定进行计算;同时,对非对称配筋的小偏心受压构件,给出了验算公式及其适用的近似条件。
6.2.19 沿截面腹部均匀配置纵向钢筋(沿截面腹部配置等直径、等间距的纵向受力钢筋)的矩形、T形或I形截面偏心受压构件,其正截面承载力可根据第6.2.1条中一般计算方法的基本假定列出平衡方程进行计算。但由于计算公式较繁,不便于设计应用,故作了必要简化,给出了公式(6.2.19—1)~公式(6.2.19—4)。
根据第6.2.1条的基本假定,均匀配筋的钢筋应变到达屈服的纤维距中和轴的距离为βζη0/β1,此处,β=fyw/(Esεcu)。分析表明,常用的钢筋β值变化幅度不大,而且对均匀配筋的内力影响很小。因此,将按平截面假定写出的均匀配筋内力Nsw、Msw的表达式分别用直线及二次曲线近似拟合,即给出公式(6.2.19—3)、公式(6.2.19—4)这两个简化公式。
计算分析表明,对两对边集中配筋与腹部均匀配筋呈一定比例的条件下,本条的简化计算与按一般方法精确计算的结果相比误差不大,并可使计算工作量得到很大简化。
6.2.20 规范对排架柱计算长度的规定引自1974年的规范《钢筋混凝土结构设计规范》TJ 10—74,其计算长度值是在当时的弹性分析和工程经验基础上确定的。在没有新的研究分析结果之前,本规范继续沿用原规范的规定。
本次规范修订,对有侧移框架结构的P—△效应简化计算,不再采用η—l0法,而采用层增大系数法。因此,进行框架结构P—△效应计算时不再需要计算框架柱的计算长度l0,因此取消了02版规范第7.3.11条第3款中框架柱计算长度公式(7.3.11—1)、公式(7.3.11—2)。本规范第6.2.20条第2款表6.2.20—2中框架柱的计算长度l0主要用于计算轴心受压框架柱稳定系数φ,以及计算偏心受压构件裂缝宽度的偏心距增大系数时采用。
6.2.21 本条对对称双向偏心受压构件正截面承载力的计算作了规定:
1 当按本规范附录E的一般方法计算时,本条规定了分别按x、y轴计算ei的公式;有可靠试验依据时,也可采用更合理的其他公式计算。
2 给出了双向偏心受压的倪克勤(N.V.Nikitin)公式,并指明了两种配筋形式的计算原则。
3 当需要考虑二阶弯矩的影响时,给出的弯矩设计值M0x,M0y已经包含了二阶弯矩的影响,即取消了02版规范第7.3.14条中的弯矩增大系数ηx、ηy,原因详见第6.2.17条条文说明。
6.2.22~6.2.25 保留了02版规范的相应条文。
对沿截面高度或周边均匀配筋的矩形、T形或I形偏心受拉截面,其正截面承载力基本符合
的变化规律,且略偏于安全;此公式改写后即为公式(6.2.25—1)。试验表明,它也适用于对称配筋矩形截面钢筋混凝土双向偏心受拉构件。公式(6.2.25—1)是89规范在条文说明中提出的公式。
6.2.17 矩形截面偏心受压构件:
1 对非对称配筋的小偏心受压构件,当偏心距很小时,为了防止As产生受压破坏,尚应按公式(6.2.17—5)进行验算,此处引入了初始偏心距ei=e0-ea,这是考虑了不利方向的附加偏心距。计算表明,只有当N>fcbh时,钢筋As的配筋率才有可能大于最小配筋率的规定。
2 对称配筋小偏心受压的钢筋混凝土构件近似计算方法:
当应用偏心受压构件的基本公式(6.2.17—1)、公式(6.2.17—2)及公式(6.2.8—1)求解对称配筋小偏心受压构件承载力时,将出现ζ的三次方程。第6.2.17条第4款的简化公式是取
,使求解ζ的方程降为一次方程,便于直接求得小偏压构件所需的配筋面积。同理,上述简化方法也可扩展用于T形和I形截面的构件。3 本次对偏心受压构件二阶效应的计算方法进行了修订,即除排架结构柱以外,不再采用η-l0法。新修订的方法主要希望通过计算机进行结构分析时一并考虑由结构侧移引起的二阶效应。为了进行截面设计时内力取值的一致性,当需要利用简化计算方法计算由结构侧移引起的二阶效应和需要考虑杆件自身挠曲引起的二阶效应时,也应先按照附录B的简化计算方法和按照第6.2.3条和第6.2.4条的规定进行考虑二阶效应的内力计算。
即在进行截面设计时,其内力已经考虑了二阶效应。
6.2.18 给出了I形截面偏心受压构件正截面受压承载力计算公式,对T形、倒T形截面则可按条文注的规定进行计算;同时,对非对称配筋的小偏心受压构件,给出了验算公式及其适用的近似条件。
6.2.19 沿截面腹部均匀配置纵向钢筋(沿截面腹部配置等直径、等间距的纵向受力钢筋)的矩形、T形或I形截面偏心受压构件,其正截面承载力可根据第6.2.1条中一般计算方法的基本假定列出平衡方程进行计算。但由于计算公式较繁,不便于设计应用,故作了必要简化,给出了公式(6.2.19—1)~公式(6.2.19—4)。
根据第6.2.1条的基本假定,均匀配筋的钢筋应变到达屈服的纤维距中和轴的距离为βζη0/β1,此处,β=fyw/(Esεcu)。分析表明,常用的钢筋β值变化幅度不大,而且对均匀配筋的内力影响很小。因此,将按平截面假定写出的均匀配筋内力Nsw、Msw的表达式分别用直线及二次曲线近似拟合,即给出公式(6.2.19—3)、公式(6.2.19—4)这两个简化公式。
计算分析表明,对两对边集中配筋与腹部均匀配筋呈一定比例的条件下,本条的简化计算与按一般方法精确计算的结果相比误差不大,并可使计算工作量得到很大简化。
6.2.20 规范对排架柱计算长度的规定引自1974年的规范《钢筋混凝土结构设计规范》TJ 10—74,其计算长度值是在当时的弹性分析和工程经验基础上确定的。在没有新的研究分析结果之前,本规范继续沿用原规范的规定。
本次规范修订,对有侧移框架结构的P—△效应简化计算,不再采用η—l0法,而采用层增大系数法。因此,进行框架结构P—△效应计算时不再需要计算框架柱的计算长度l0,因此取消了02版规范第7.3.11条第3款中框架柱计算长度公式(7.3.11—1)、公式(7.3.11—2)。本规范第6.2.20条第2款表6.2.20—2中框架柱的计算长度l0主要用于计算轴心受压框架柱稳定系数φ,以及计算偏心受压构件裂缝宽度的偏心距增大系数时采用。
6.2.21 本条对对称双向偏心受压构件正截面承载力的计算作了规定:
1 当按本规范附录E的一般方法计算时,本条规定了分别按x、y轴计算ei的公式;有可靠试验依据时,也可采用更合理的其他公式计算。
2 给出了双向偏心受压的倪克勤(N.V.Nikitin)公式,并指明了两种配筋形式的计算原则。
3 当需要考虑二阶弯矩的影响时,给出的弯矩设计值M0x,M0y已经包含了二阶弯矩的影响,即取消了02版规范第7.3.14条中的弯矩增大系数ηx、ηy,原因详见第6.2.17条条文说明。
6.2.22~6.2.25 保留了02版规范的相应条文。
对沿截面高度或周边均匀配筋的矩形、T形或I形偏心受拉截面,其正截面承载力基本符合
的变化规律,且略偏于安全;此公式改写后即为公式(6.2.25—1)。试验表明,它也适用于对称配筋矩形截面钢筋混凝土双向偏心受拉构件。公式(6.2.25—1)是89规范在条文说明中提出的公式。
- 上一节:6.1 一般规定
- 下一节:6.3 斜截面承载力计算