5.4热、冷损失量计算


5.4.1 最大允许热损失量应符合本规范附录B的规定。
5.4.2最大允许冷损失量,应按下列公式进行计算:
    当TaTd≤4.5时:
TaTd>4.5时:
  式中:Td——当地气象条件下最热月的露点温度(℃)。Td的取值可按本规范附录C确定。
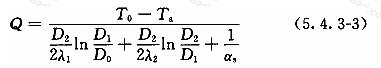
5.4.3求取绝热层的热、冷损失量应按下列公式计算:
    1 圆筒型单层绝热结构热、冷损失量应按下式计算:
 2 两种不同热损失单位之间的数值转换,应采用下式计算:
  式中:Q——以每平方米绝热层外表面积表示的热损失量(W/m2),Q为负值时,为冷损失量;
          q——以每米管道长度表示的热损失量(W/m),q为负值时,为冷损失量。
    3 圆筒型不同材料双层绝热结构热、冷损失量应按下式计算:
 4 两种不同热损失单位之间的数值转换,应采用下式计算:
5 平面型单层绝热结构热、冷损失量应按下式计算:
6 平面型不同材料双层绝热结构热、冷损失量应按下式计算:
  7 球形容器冷损失量应按下式计算:(单层保冷层)
 式中:Q1——球形容器保冷层表面冷量总损失量(W)。


条文说明

5.4 热、冷损失量计算
5.4.1本条系原规范保留条文。
5.4.2本条系最大允许冷损失量的计算。保冷允许冷损失量[Q]是本规范新提出的概念,是针对5.2.1条条文说明所述“露点加1℃~3℃不适于我国的各地湿度相差十分悬殊的实际情况而提出的。按本规范的公式确定的冷损失量计算出来的保冷厚度,首先是不会结露,其次是不会出现超薄或超厚现象,与“经济厚度”的差异规律性强。
    本规范的两个最大允许冷损失量计算公式的选用分界线“4.5”这一数值的确定原则,一是不结露,二是经济性。
    (1) 按本规范计算公式5.3.9的条件,保冷表面温度Ts大于或等于露点温度Td即不会结露。而该式中分母as(TaTs)正好为热损失量-Q,当保冷表面温度Ts等于露点温度Td时,其热损失量等于as(TaTd),而5.4.2公式中的[Q]值,实际上就是用as(TaTd)来判别的,即[Q]与as(TaTd)在公式中的作用结果是等效的,只要能满足等式的要求,都能达到不结露目的。
    (2) 从经济角度考虑,(TaTd)值本质代表的是相对湿度ψTaTd=2.65+0.25代表ψ=85%,TaTd=3.62±0.38代表ψ=80%,TaTd=4.5±0.6代表ψ=75%。日本标准中取ψ=85%,是因为日本潮湿,而在我国西部的克拉玛依,ψ=32%时,TaTd=17℃,若均以不结露为计算基准,则根据本规范公式5.3.9可知,同一冷介质温度下,克拉玛依的保冷厚度仅为日本标准的1/6.4,冷损失非常大,不经济;若按ψ=85%取厚,厚度过大,初期投资及利息支出太多。故本规范近似以ψ=75%作为分界线,此时TaTd≈4.5。这样,在干燥地区,保冷厚度为ψ=85%的地区的厚度的60%,投资及冷损失量在不结露前提下,均得到适度控制。
    在实际运用中,“4.5"一值是可以根据能价与绝热结构单位造价的价格比作适当调整。当此价格比高时,可小于4.5,反之亦然。
    从此说明可知,露点Td是保冷和防结露计算的重要数据。Td只能通过TaψTd表才能查到,而所有现有的TaψTd表格均没有湿度ψ小于65%的地区的数据,我国西部的克拉玛依湿度仅32%。不同地区环境温度、相对湿度、露点对照表详见附录C。
5.4.3 本条系修改条文。圆筒型单层和双层热、冷损失量计算公式与传统表达方法不同,是因旧的表示法计算出来的为每米管道热损失量,其数值是否超过国家标准规定的指标,不能直接看出来,而本规范的表达式便于超标判别,且给出了新旧单位的简便换算公式,可应变自如。新增第7款球形容器冷损失量计算公式,该公式是由数学推导而得。


目录导航