5.2 设计
Ⅰ 堆载预压
5.2.1 对深厚软黏土地基,应设置塑料排水带或砂井等排水竖井。当软土层厚度较小或软土层中含较多薄粉砂夹层,且固结速率能满足工期要求时,可不设置排水竖井。
5.2.2 堆载预压地基处理的设计应包括下列内容:
1. 选择塑料排水带或砂井,确定其断面尺寸、间距、排列方式和深度;
2. 确定预压区范围、预压荷载大小、荷载分级、加载速率和预压时间;
3. 计算堆载荷载作用下地基土的固结度、强度增长、稳定性和变形。
5.2.3 排水竖井分普通砂井、袋装砂井和塑料排水带。普通砂井直径宜为300mm~500mm,袋装砂井直径宜为70mm~120mm。塑料排水带的当量换算直径可按下式计算:
(5.2.3)
式中:dp——塑料排水带当量换算直径(mm);
b——塑料排水带宽度(mm);
δ——塑料排水带厚度(mm)。
5.2.4 排水竖井可采用等边三角形或正方形排列的平面布置,并应符合下列规定:
1. 当等边三角形排列时,
de=1.05 l (5.2.4-1)
2. 当正方形排列时,
de=1.13 l (5.2.4-2)
式中:de——竖井的有效排水直径;
l——竖井的间距。
5.2.5 排水竖井的间距可根据地基土的固结特性和预定时间内所要求达到的固结度确定。设计时,竖井的间距可按井径比n选用(n=de/dw,dw为竖井直径,对塑料排水带可取dw=dp)。塑料排水带或袋装砂井的间距可按n=15~22选用,普通砂井的间距可按n=6~8选用。
5.2.6 排水竖井的深度应符合下列规定:
1. 根据建筑物对地基的稳定性、变形要求和工期确定;
2. 对以地基抗滑稳定性控制的工程,竖井深度应大于最危险滑动面以下2.0m;
3. 对以变形控制的建筑工程,竖井深度应根据在限定的预压时间内需完成的变形量确定;竖井宜穿透受压土层。
5.2.7 一级或多级等速加载条件下,当固结时间为t时,对应总荷载的地基平均固结度可按下式计算:
(5.2.7)
式中:Ut——t时间基地的平均固结度;
——第i级荷载的加载速率(kPa/d);
Σ△p——各级荷载的累加值(kPa);
Ti-1,Ti——分别为第i级荷载加载的起始和终止时间(从零点起算)(d),当计算第i级荷载加载过程中某时间t的固结度时,Ti改为t;
a、β——参数,根据地基土排水固结条件按表5.2.7采用。对竖井地基,表中所列β为不考虑涂抹和井阻影响的参数值。
表5.2.7 a和β值

5.2.8 当排水竖井采用挤土方式施工时,应考虑涂抹对土体固结的影响。当竖井的纵向通水量qw与天然土层水平向渗透系数是kh的比值较小,且长度较长时,尚应考虑井阻影响。瞬时加载条件下,考虑涂抹和井阻影响时,竖井地基径向排水平均固结度可按下列公式计算:
(5.2.8-1)
(5.2.8-2)
(5.2.8-3)
(5.2.8-2.4)
(5.2.8-5)
式中:Ur——固结时间t时竖井地基径向排水平均固结度;
kh——天然土层水平向渗透系数(cm/s);
ks——涂抹区土的水平向渗透系数,可取ks=(1/5~1/3)kh(cm/s);
s——涂抹区直径ds竖井直径dw的比值,可取s=2.0~3.0,对中等灵敏黏性土取低值,对高灵敏黏性土取高值;
L——竖井深度(cm);
qw——竖井纵向通水量,为单位水力梯度下单位时间的排水量(cm3/s)。
一级或多级等速加荷条件下,考虑涂抹和井阻影响时竖井穿透受压土层地基的平均固结度可按式(5.2.7)计算,其中,a=
。
5.2.9 对排水竖井未穿透受压土层的情况,竖井范围内土层的平均固结度和竖井底面以下受压土层的平均固结度,以及通过预压完成的变形量均应满足设计要求。
5.2.10 预压荷载大小、范围、加载速率应符合下列规定:
1. 预压荷载大小应根据设计要求确定;对于沉降有严格限制的建筑,可采用超载预压法处理,超载量大小应根据预压时间内要求完成的变形量通过计算确定,并宜使预压荷载下受压土层各点的有效竖向应力大于建筑物荷载引起的相应点的附加应力;
2. 预压荷载顶面的范围应不小于建筑物基础外缘的范围;
3. 加载速率应根据地基土的强度确定;当天然地基土的强度满足预压荷载下地基的稳定性要求时,可一次性加载;如不满足应分级逐渐加载,待前期预压荷载下地基土的强度增长满足下一级荷载下地基的稳定性要求时,方可加载。
5.2.11 计算预压荷载下饱和黏性土地基中某点的抗剪强度时,应考虑土体原来的固结状态。对正常固结饱和黏性土地基,某点某一时间的抗剪强度可按下式计算:
τft=τf0+△σz·Uttanφcu(5.2.11)
式中:τft——t时刻,该点土的抗剪强度(kPa);
τf0——地基土的天然抗剪强度(kPa);
△σz——预压荷载引起的该点的附加竖向应力(kPa);
Ut——该点土的固结度;
φcu——三轴固结不排水压缩试验求得的土的内摩擦角(°)。
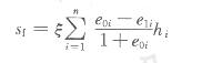
5.2.12 预压荷载下地基最终竖向变形量的计算可取附加应力与土自重应力的比值为0.1的深度作为压缩层的计算深度,可按式(5.2.12)计算:
(5.2.12)
式中:sf——最终竖向变形量(m);
eoi——第i层中点土自重应力所对应的孔隙比,由室内固结试验e-p曲线查得;
eli——第i层中点土自重应力与附加应力之和所对应的孔隙比,由室内固结试验e-p曲线查得;
hi——第i层土层厚度(m);
ξ——经验系数,可按地区经验确定。无经验时对正常固结饱和黏性土地基可取ξ=1.1~1.4;荷载较大或地基软弱土层厚度大时应取较大值。
5.2.13 预压处理地基应在地表铺设与排水竖井相连的砂垫层,砂垫层应符合下列规定:
1. 厚度不应小于500mm;
2. 砂垫层砂料宜用中粗砂,黏粒含量不应大于3%,砂料中可含有少量粒径不大于50mm的砾石;砂垫层的干密度应大于1.5t/m3,渗透系数应大于1×10-2cm/s。
5.2.14 在预压区边缘应设置排水沟,在预压区内宜设置与砂垫层相连的排水盲沟,排水盲沟的间距不宜大于20m。
5.2.15 砂井的砂料应选用中粗砂,其黏粒含量不应大于3%。
5.2.16 堆载预压处理地基设计的平均固结度不宜低于90%, 且应在现场监测的变形速率明显变缓时方可卸载。
Ⅱ 真空预压
5.2.17 真空预压处理地基应设置排水竖井,其设计应包括下列内容:
1. 竖井断面尺寸、间距、排列方式和深度;
2. 预压区面积和分块大小;
3. 真空预压施工工艺;
4. 要求达到的真空度和土层的固结度;
5. 真空预压和建筑物荷载下地基的变形计算;
6. 真空预压后的地基承载力增长计算。
5.2.18 排水竖井的间距可按本规范第5.2.5条确定。
5.2.19 砂井的砂料应选用中粗砂,其渗透系数应大于1×10-2 cm/s。
5.2.20 真空预压竖向排水通道宜穿透软土层,但不应进入下卧透水层。当软土层较厚、且以地基抗滑稳定性控制的工程,竖向排水通道的深度不应小于最危险滑动面下2.0m。对以变形控制的工程,竖井深度应根据在限定的预压时间内需完成的变形量确定,且宜穿透主要受压土层。
5.2.21 真空预压区边缘应大于建筑物基础轮廓线,每边增加量不得小于3.0m。
5.2.22 真空预压的膜下真空度应稳定地保持在86.7kPa(650mmHg)以上,且应均匀分布,排水竖井深度范围内土层的平均固结度应大于90%。
5.2.23 对于表层存在良好的透气层或在处理范围内有充足水源补给的透水层,应采取有效措施隔断透气层或透水层。
5.2.24 真空预压固结度和地基强度增长的计算可按本规范第5.2.7条、第52..8条和第5.2.11条计算。
5.2.25 真空预压地基最终竖向变形可按本规范第5.2.12条计算。ξ可按当地经验取值,无当地经验时,ξ可取1.0~1.3。
5.2.26 真空预压地基加固面积较大时,宜采取分区加固,每块预压面积应尽可能大且呈方形,分区面积宜为20 000m2~40 000m2。
5.2.27 真空预压地基加固可根据加固面积的大小、形状和土层结构特点,按每套设备可加固地基1000m2~1500m2确定设备数量。
5.2.28 真空预压的膜下真空度应符合设计要求,且预压时间不宜低于90d。
Ⅲ 真空和堆载联合预压
5.2.29 当设计地基预压荷载大于80kPa,且进行真空预压处理地基不能满足设计要求时可采用真空和堆载联合预压地基处理。
5.2.30 堆载体的坡肩线宜与真空预压边线一致。
5.2.31 对于一般软黏土,上部堆载施工宜在真空预压膜下真空度稳定地达到86.7kPa(650mmHg)且抽真空时间不少于10d后进行。对于高含水量的淤泥类土,上部堆载施工宜在真空预压膜下真空度稳定地达到86.7kPa(650mmHg)且抽真空20d~30d后可进行。
5.2.32 当堆载较大时,真空和堆载联合预压应采用分级加载,分级数应根据地基土稳定计算确定。分级加载时,应待前期预压荷载下地基的承载力增长满足下一级荷载下地基的稳定性要求时,方可增加堆载。
5.2.33 真空和堆载联合预压时地基固结度和地基承载力增长可按本规第52..7条、5.2.8条和5.2.11条计算。
5.2.34 真空和堆载联合预压最终竖向变形可按本规范第5.2.12条计算,ξ可按当地经验取值,无当地经验时,ξ可取1.0~1.3。
条文说明
5.2 设计
Ⅰ 堆载预压
5.2.1 本条中提出对含较多薄粉砂夹层的软土层,可不设置排水竖井。这种土层通常具有良好的透水性。表10为上海石化总厂天然地基上10000m3 试验油罐经148d充水预压的实测和推算结果。
该罐区的土层分布为:地表约4m的粉质黏土(“硬壳层”)其下为含粉砂薄层的淤泥质黏土,呈“千层糕”状构造。预计固结较快,地基未作处理,经148d充水预压后,固结度达90%左右。
表10 从实测s-t曲线推算的β、sf等值

土层的平均固结度普遍表达式U如下:
U=1-ae-βt (3)
式中a、β为和排水条件有关的参数,β值与土的固结系数、排水距离等有关,它综合反映了土层的固结速率。从表10可看出罐区土层的β值较大。对照砂井地基,如台州电厂煤场砂井地基β值为0.0207(1/d),而上海炼油厂油罐天然地基β值为0.0248(1/d)。它们的值相近。
5.2.3 对于塑料排水带的当量换算直径dp,虽然许多文献都提供了不同的建议值,但至今还没有结论性的研究成果,式(5.2.3)是著名学者Hansbo提出的,国内工程上也普遍采用,故在规范中推荐使用。
5.2.5 竖井间距的选择,应根据地基土的固结特性,预定时间内所要求达到的固结度以及施工影响等通过计算、分析确定。根据我国的工程实践,普通砂井之井径比取6~8,塑料排水带或袋装砂井之井径比取15~22,均取得良好的处理效果。
5.2.6 排水竖井的深度,应根据建筑物对地基的稳定性、变形要求和工期确定。对以变形控制的建筑,竖井宜穿透受压土层。对受压土层深厚,竖井很长的情况,虽然考虑井阻影响后,土层径向排水平均固结度随深度而减小,但井阻影响程度取决于竖井的纵向通水量qw与天然土层水平向渗透系数kh的比值大小和竖井深度等。对于竖井深度L=30m,井径比n=20,径向排水固结时间因子Th=0.86,不同比值qw/kh时,土层在深度z=1m和30m处根据Hansbo(1981)公式计算之径向排水平均固结度Ur,如表11所示。
表11 Hansbo(1981)公式计算之径向排水平均固结度 Ur

由表可见,在深度30m处,土层之径向排水平均固结度仍较大,特别是当qw/kh较大时。因此,对深厚受压土层,在施工能力可能时,应尽可能加深竖井深度,这对加速土层固结,缩短工期是很有利的。
5.2.7 对逐渐加载条件下竖井地基平均固结度的计算,本规范采用的是改进的高木俊介法,该公式理论上是精确解,而且无需先计算瞬时加载条件下的固结度,再根据逐渐加载条件进行修正,而是两者合并计算出修正后的平均固结度,而且公式适用于多种排水条件,可应用于考虑井阻及涂抹作用的径向平均固结度计算。
算例:
已知:地基为淤泥质黏土层,固结系数ch=cv=1.8×10-3cm2/s,受压土层厚20m,袋装砂井直径dw=70mm,袋装砂井为等边三角形排列,间距l=1.4m,深度H=20m,砂井底部为不透水层,砂井打穿受压土层。预压荷载总压力p=100kPa,分两级等速加载,如图3所示。
求:加荷开始后120d受压土层之平均固结度(不考虑竖井井阻和涂抹影响)。
计算:
受压土层平均固结度包括两部分:径向排水平均固结度和向上竖向排水平均固结度。按公式(5.2.7)计算,其中a、β由表

t(d)
图3 加载过程
5.2.7知:

根据砂井的有效排水圆柱体直径de=1.05 l=1.05×1.4=1.47m
径井比n=de/dw=1.47/0.07=21,则

第一级荷载的加荷速率
=60/10=6kPa/d
第二级荷载的加荷速率
=40/10=4kPa/d
固结度计算:

5.2.8 竖井采用挤土方式施工时,由于井壁涂抹及对周围土的扰动而使土的渗透系数降低,因而影响土层的固结速率,此即为涂抹影响。涂抹对土层固结速率的影响大小取决于涂抹区直径ds和涂抹区土的水平向渗透系数ks与天然土层水平渗透系数kh的比值。图4反映了这两个因素对土层固结时间因子的影响,图中Th90(s)为不考虑井阻仅考虑涂抹影响时,土层径向排水平均固结度Ur=0.9时之固结时间因子。由图可见,涂抹对土层固结速率影响显著,在固结度计算中,涂抹影响应予考虑。对涂抹区直径ds,有的文献取ds=(2~3)dm,其中,dm为竖井施工套管横截面积当量直径。对涂抹区土的渗透系数,由于土被扰动的程度不同,愈靠近竖井,ks愈小。关于ds和ks大小还有待进一步积累资料。
如不考虑涂抹仅考虑井阻影响,即F=Fn+Fr,由反映井阻影响的参数Fr的计算式可见,井阻大小取决于竖井深度和竖井纵向通水量qw与天然土层水平向渗透系数kh的比值。如以竖井地基径向平均固结度达到Ur=0.9为标准,则可求得不同竖井深度,不同井径比和不同qw/kh比值时,考虑井阻影响(F=Fn+Fr)和理想井条件(F=Fn)之固结时间因子Th90(r)和Th90(i)。比值Th90(r)/Th90(i)与qw/kh的关系曲线见图5。
由图可知,对不同深度的竖井地基,如以Th90(r)/Th90(i)

图4 涂抹对土层固结速率的影响
≤1.1作为可不考虑井阻影响的标准,则可得到相应的qw/kh,值,因而可得到竖井所需要的通水量qw理论值,即竖井在实际工作状态下应具有的纵向通水量值。对塑料排水带来说,它不同于实验室按一定实验标准测定的通水量值。工程上所选用的通过实验测定的产品通水量应比理论通水量高。设计中如何选用产品的纵向通水量是工程上所关心而又很复杂的问题,它与排水带深度、天然土层和涂抹后土渗透系数、排水带实际工作状态和工期要求等很多因素有关。同时,在预压过程中,土层的固结速率也是不同的,预压初期土层固结较快,需通过塑料排水带排出的水

图5 井阻对土层固结速率的影响
量较大,而塑料排水带的工作状态相对较好。关于塑料排水带的通水量问题还有待进一步研究和在实际工程中积累更多的经验。对砂井,其纵向通水量可按下式计算:
qw=kw·Aw=kw·πd2w/4(4)
式中,kw为砂料渗透系数。作为具体算例,取井径比n=20;袋装砂井直径dw=70mm和100mm两种;土层渗透系数是kh=1×10-6cm/s、5×10-7cm/s、1×10-7cm/s和1×10-8cm/s,考虑井阻影响时的时间因子Th90(r)与理想井时间因子Th90(i)的比值列于表12,相应的qw/kh列于表13中。从表的计算结果看,对袋装砂井,宜选用较大的直径和较高的砂料渗透系数。
表12 井阻时间因子Th90(r)与理想井时间因子Th90(i)的比值

表13 qw/kh(m2)

算例:
已知:地基为淤泥质黏土层,水平向渗透系数kh=1×10-7cm/s,cv=ch=1.8×10-3cm2/s,袋装砂井直径dw=70mm,砂料渗透系数kw=2×10-2cm/s,涂抹区土的渗透系数ks=1/5×kh=0.2×10-7cm/s。取s=2,袋装砂井为等边三角形排列,间距l=1.4m,深度H=20m,砂井底部为不透水层,砂井打穿受压土层。预压荷载总压力p=100kPa,分两级等速加载,如图3所示。
求:加载开始后120d受压土层之平均固结度。
计算:
袋装砂井纵向通水量

5.2.9 对竖井未穿透受压土层的地基,当竖井底面以下受压土层较厚时,竖井范围土层平均固结度与竖井底面以下土层的平均固结度相差较大,预压期间所完成的固结变形量也因之相差较大,如若将固结度按整个受压土层平均,则与实际固结度沿深度的分布不符,且掩盖了竖井底面以下土层固结缓慢,预压期间完成的固结变形量小,建筑物使用以后剩余沉降持续时间长等实际情况。同时,按整个受压土层平均,使竖井范围土层固结度比实际降低而影响稳定分析结果。因此,竖井范围与竖井底面以下土层的固结度和相应的固结变形应分别计算,不宜按整个受压土层平均计算。
5.2.11 饱和软黏土根据其天然固结状态可分成正常固结土、超固结土和欠固结土。显然,对不同固结状态的土,在预压荷载下其强度增长是不同的,由于超固结土和欠固结土强度增长缺乏实测资料,本规范暂未能提出具体预计方法。
对正常固结饱和黏性土,本规范所采用的强度计算公式已在工程上得到广泛的应用。该法模拟了压应力作用下土体排水固结引起的强度增长,而不模拟剪缩作用引起的强度增长,它可直接用十字板剪切试验结果来检验计算值的准确性。该式可用于竖井地基有效固结压力法稳定分析。
τft=τf0+△σz·Uttanφcu(5)
式中τf0为地基土的天然抗剪强度,由计算点土的自重应力和三轴固结不排水试验指标φcu计算或由原位十字板剪切试验测定。
5.2.12 预压荷载下地基的变形包括瞬时变形、主固结变形和次固结变形三部分。次固结变形大小和土的性质有关。泥炭土、有机质土或高塑性黏性土土层,次固结变形较显著,而其他土则所占比例不大,如忽略次固结变形,则受压土层的总变形由瞬时变

图6 某工程淤泥质黏土的室内试验结果
形和主固结变形两部分组成。主固结变形工程上通常采用单向压缩分层总和法计算,这只有当荷载面积的宽度或直径大于受压土层的厚度时才较符合计算条件,否则应对变形计算值进行修正以考虑三向压缩的效应。但研究结果表明,对于正常固结或稍超固结土地基,三向修正是不重要的。因此,仍可按单向压缩计算。经验系数ξ考虑了瞬时变形和其他影响因素,根据多项工程实测资料推算,正常固结黏性土地基的ξ值列于表14。
表14 正常固结黏性土地基的ξ值

5.2.16 预压地基大部分为软土地基,地基变形计算仅考虑固结变形,没有考虑荷载施加后的次固结变形。对于堆载预压工程的卸载时间应从安全性考虑,其固结度不宜少于90%,现场检测的变形速率应有明显变缓趋势才能卸载。
Ⅱ 真空预压
5.2.17 真空预压处理地基必须设置塑料排水带或砂井,否则难以奏效。交通部第一航务工程局曾在现场做过试验,不设置砂井,抽气两个月,变形仅几个毫米,达不到处理目的。
5.2.19 真空度在砂井内的传递与井料的颗粒组成和渗透性有关。根据天津的资料,当井料的渗透系数k=1×10-2cm/s时,10m长的袋装砂井真空度降低约10%,当砂井深度超过10m时,为了减小真空度沿深度的损失,对砂井砂料应有更高的要求。
5.2.21 真空预压效果与预压区面积大小及长宽比等有关。表15为天津新港现场预压试验的实测结果。
表15 预压区面积大小影晌

此外,在真空预压区边缘,由于真空度会向外部扩散,其加固效果不如中部,为了使预压区加固效果比较均匀,预压区应大于建筑物基础轮廓线,并不小于3.0m。
5.2.22 真空预压的效果和膜内真空度大小关系很大,真空度越大,预压效果越好。如真空度不高,加上砂井井阻影响,处理效果将受到较大影响。根据国内许多工程经验,膜内真空度一般都能达到86.7kPa(650mmHg)以上。这也是真空预压应达到的基本真空度。
5.2.25 对堆载预压工程,由于地基将产生体积不变的向外的侧向变形而引起相应的竖向变形,所以,按单向压缩分层总和法计算固结变形后尚应乘1.1~1.4的经验系数ξ以反映地基向外侧向变形的影响。对真空预压工程,在抽真空过程中将产生向内的侧向变形,这是因为抽真空时,孔隙水压力降低,水平方向增加了一个向负压源的压力△σ3=-△u,考虑到其对变形的减少作用,将堆载预压的经验系数适当减小。根据《真空预压加固软土地基技术规程》JTS 147-2-2009推荐的ξ的经验值,取1.0~1.3。
5.2.28 真空预压加固软土地基应进行施工监控和加固效果检测,满足卸载标准时方可卸载。真空预压加固卸载标准可按下列要求确定:
1. 沉降-时间曲线达到收敛,实测地面沉降速率连续5d~10d平均沉降量小于或等于2mm/d;
2. 真空预压所需的固结度宜大于85%~90%,沉降要求严格时取高值;
3. 加固时间不少于90d;
4. 对工后沉降有特殊要求时,卸载时间除需满足以上标准外,还需通过计算剩余沉降量来确定卸载时间。
Ⅲ 真空和堆载联合预压
5.2.29 真空和堆载联合预压加固,二者的加固效果可以叠加,符合有效应力原理,并经工程试验验证。真空预压是逐渐降低土体的孔隙水压力,不增加总应力条件下增加土体有效应力;而堆载预压是增加土体总应力和孔隙水压力,并随着孔隙水压力的逐渐消散而使有效应力逐渐增加。当采用真空-堆载联合预压时,既抽真空降低孔隙水压力,又通过堆载增加总应力。开始时抽真空使土中孔隙水压力降低有效应力增大,经不长时间(7d~10d)在土体保持稳定的情况下堆载,使土体产生正孔隙水压力,并与抽真空产生的负孔隙水压力叠加。正负孔隙水压力的叠加,转化的有效应力为消散的正、负孔隙水压力绝对值之和。现以瞬间加荷为例,对土中任一点m的应力转化加以说明。m点的深度为地面下hm。地下水位假定与地面齐平,堆载引起m点的总应力增量为△σ1,土的有效重度γ',水重度γw,大气压力pa,抽真空土中m点大气压力逐渐降低至pn,t时间的固结度为U1,不同时间土中m点总应力和有效应力如表16所示。
5.2.34 目前真空-堆载联合预压的工程,经验系数ξ尚缺少资料,故仍按真空预压的参数推算。
表16 土中任意点(m)有效应力-孔隙水压力随时间转换关系
