5.2 荷载、地震作用及内力计算
5.2.1 自重荷载标准值可按下式计算
H1——计算截面至堤顶面的距离(m);
B1——计算截面以上堤身的平均厚度(m);
γ ——材质重度(kN/m³)。
5.2.2 防火堤内侧所受的静液压力荷载标准值(图5.2.2)可按下列公式计算:
γy ——堤内液体重度,取10kN/m³;
Z ——液体深度(m);
PYK——计算截面以上每米堤长静液压力合力标准值(kN/m);
HY ——计算截面至液面距离(m);
MYk——计算截面以上每米堤长静液压力合力对计算截面的弯矩标准值(kN•m/m);
H0 ——计算截面以上每米堤长静液压力合力位置至计算截面的距离(m)。
5.2.3 防火堤内培土的静土压力荷载标准值(图5.2.3)可按下列要求计算:
1 图5.2.3中的折线AFD为土压力分布曲线,F为转折点,其压力分布可按下列公式计算:
式中:pAk、pBk——分别为堤顶和计算截面处每米堤长静土压力分布荷载标准值(kN/㎡);
PGk——土压力分布曲线转折处的每米堤长静土压力分布荷载标准值(kN/㎡);
h——培土坡线与堤背延长线的交点A′至堤顶的距离(m);
α——培土顶面宽度(m);
H1——计算截面以上培土高度(m);
H2——压力分布曲线转折点至堤顶的距离(m);
β——培土坡面与水平面的夹角(°);
γt——土体重度,可取16kN/m³~18kN/m³;
Ka——以AB为光滑堤背而填土面为水平时的主动土压力系数,可按式(5.2.3-7)计算或按本规范附录A表A.0.1确定;
Ka′——以A′B为假想堤背而培土坡面与水平成β角时的主动土压力系数可按式(5.2.3-8)计算或按本规范附录A表A.0.2确定;
φ——培土的内摩擦角(°),当无实验资料时,可根据土的性质取35°~40°。
2 当H1﹤H2时,土压力合力及弯矩可按下列公式计算:
MTk——计算截面以上每米堤长静土压力合力对计算截面的弯矩标准值(kN•m/m);
H0 ——计算截面以上每米堤长静土压力合力作用位置至计算截面的距离(m)。
3 当H1≥H2时,土压力合力及弯矩可按下列公式计算:
5.2.4 防火堤受到的水平地震作用的计算应符合下列规定:
1 钢筋混凝土防火堤的水平地震作用(图5.2.4-1)标准值可按下列公式计算:

式中:pEGK ——每米堤长水平地震作用分布值(kN/㎡);
PEGK ——计算截面以上每米堤长水平地震作用合力标准值(kN/m);
MEGK——计算截面以上每米堤长水平地震作用合力对计算截面的弯矩标准值(kN•m/m);
αmax ——水平地震影响系数最大值,当设防烈度为7度、8度和9度时分别取0.08(0.12)、0.16(0.24)和0.32,括号内数值分别用于设计基本地震加速度为0.15g和0.30g的地区;
ηl ——钢筋混凝土防火堤基本振型参与系数,取1.6;
Χ ——计算截面至基础顶面的距离(m);
α1、α2——根据X/H值求得的相应系数,按表5.2.4确定;
H0——计算截面以上每米堤长水平地震作用合力作用点至计算截面的距离(m);
H——基础顶面至堤顶的高度(m);
B1——计算截面以上堤身平均厚度(m)。
2 砖、砌块及毛石防火堤的水平地震作用(图5.2.4-2)可按下列公式计算:
式中:η2 ——砖、砌块及毛石防火堤基本振型参与系数,取1.27;
α3、α4——根据X/H比值求得的相应系数,按表5.2.4确定。
5.2.5 地震作用时,防火堤内水平动液压力标准值(图5.2.5)可按下列公式计算:
式中:pEYk——每米堤长水平动液压力标准值(kN/㎡);
fd——水平动液压力系数,取0.35;
Hd——液体深度(m);
PEYk——计算截面以上每米堤长水平动液压力合力标准值(kN/m);
MEYk——计算截面以上每米堤长水平动液压力合力对计算截面的弯矩标准值(kN•m/m);
HY——计算截面至液面的距离(m)。
5.2.6 地震作用时,防火堤培土的水平动土压力标准值可按下列公式计算:
METk——计算截面以上每米堤长水平动土压力合力对计算截面的弯矩标准值(kN•m/m);
PTk——土压力合力标准值(kN/m),可按本规范式(5.2.3-9)或(5.2.3-12)计算确定;
HT——计算截面以上培土高度(m)。
5.2 荷载、地震作用及内力计算
5.2.2 本条至第5.2.6条中的水平力和弯矩的计算公式,只适用于计算截面取在地面线以上或地面线上的情况。至于地面线以下的截面内力,可根据地面线处的截面内力进行换算确定。
5.2.3 防火堤内培土静压力的计算公式是根据库伦主动土压力理论并按培土与水平夹角为一β推导出来的。根据图5.2.3,延长培土倾斜面交堤面延长线于A′点,分别计算堤背为AB而填土面为水平时主动土压力强度分布图形ABC,及以堤背为A′B而填土表面倾角为一β时的主动土压力强度分布图形A′BD,这两个图形交于F点,则实际计算截面以上主动土压力强度分布图形可近似取图中的ABDFA,它的面积就是主动土压力PT的近似值。对于粉土、粉质黏土及黏土,可将其内摩擦角直接代入公式计算,即不考虑它们的黏聚力,仍按无黏性土计算主动土压力,这样使计算简化,并偏于安全。
5.2.4 规范给出的防火堤水平地震作用的计算方法分为下列两种情况。
1由于钢筋混凝土堤的高厚比一般都大于4,在水平地震作用下,以弯曲变形为主。本规范给出的计算公式(5.2.4-1)~(5.2.4-4)就是以纯弯曲变形理论为基础确定的。为了简化计算,选用了比较简单的振型函数(图2):
该式满足下端的变形条件:当χ=0时,挠度y(0)=0,
用能量法计算上式所表达的振动的固有频率为:
而按纯弯曲悬臂杆理论计算出的精确值为:
前者仅高出后者4.2%,故以式(1)作为振型函数来计算钢筋混凝土防火堤的水平地震作用,其精确度能够满足工程要求。规范中式(5.2.4-1)的振型参与系数η1由下式计算得出:
钢筋混凝土防火堤的基本周期一般都小于0.1s,考虑到地震反应曲线在T10~0.1s之间的数值离散性较大,虽然现行抗震规范中将此区间加工成一条斜线,但实际上人为因素较大,故为安全起见,本规范仍然取地震影响系数最大值αmax,偏于安全。
2 砖石砌体防火堤一般为变截面的悬臂结构。其高厚比一般在2~4之间。经过实算,接近于纯剪切变形。规范中表达水平地震作用的分布值公式(5.2.4-5)就是按等截面纯剪切理论推导出来的,其振型函数为:
基本振型参与系数η2由下式计算得出:
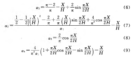
系数a1~a4都是通过积分推导出来的,其表达式见式(6)~式(9),也可以直接查本规范表5.2.4:
式(6)~式(9)
5.2.5 水平动液压力的计算公式参照了《室外给水排水和燃气热力工程抗震设计规范》GB50032-2003第6.2.3条。该条公式中的水平地震加速度与重力加速度的比值用1.25αmax代替;水平动液压力系数的值取自该条表6.2.3。
5.2.6 水平动土压力的计算公式参照《室外给水排水和燃气热力工程抗震设计规范》GB50032-2003第6.2.4条制订。由于动土压力的合力与动土压力分布值成正比,为了简化计算,本规范把上述规范动土压力分布值直接换算成动土压力合力值;该条公式中的水平地震加速度与重力加速度的比值用1.25αmax代替。
为了简化计算,取动土压力的力矩为0.4HT,偏于安全。
Glk=γB1H1 (5.2.1)
式中:Glk——每米堤长计算截面以上堤身自重荷载标准值(kN/m);H1——计算截面至堤顶面的距离(m);
B1——计算截面以上堤身的平均厚度(m);
γ ——材质重度(kN/m³)。
5.2.2 防火堤内侧所受的静液压力荷载标准值(图5.2.2)可按下列公式计算:
pYk=γyZ (5.2.2-1)
PYK=1/2γyHY2 (5.2.2-2)
MYk=PykH0 (5.2.2-3)
H0=1/3Hy (5.2.2-4)
式中:pYk——每米堤长静液压力沿液体深度分布的水平荷载标准值(kN/㎡);PYK=1/2γyHY2 (5.2.2-2)
MYk=PykH0 (5.2.2-3)
H0=1/3Hy (5.2.2-4)
γy ——堤内液体重度,取10kN/m³;
Z ——液体深度(m);
PYK——计算截面以上每米堤长静液压力合力标准值(kN/m);
HY ——计算截面至液面距离(m);
MYk——计算截面以上每米堤长静液压力合力对计算截面的弯矩标准值(kN•m/m);
H0 ——计算截面以上每米堤长静液压力合力位置至计算截面的距离(m)。
1 图5.2.3中的折线AFD为土压力分布曲线,F为转折点,其压力分布可按下列公式计算:
PGk——土压力分布曲线转折处的每米堤长静土压力分布荷载标准值(kN/㎡);
h——培土坡线与堤背延长线的交点A′至堤顶的距离(m);
α——培土顶面宽度(m);
H1——计算截面以上培土高度(m);
H2——压力分布曲线转折点至堤顶的距离(m);
β——培土坡面与水平面的夹角(°);
γt——土体重度,可取16kN/m³~18kN/m³;
Ka——以AB为光滑堤背而填土面为水平时的主动土压力系数,可按式(5.2.3-7)计算或按本规范附录A表A.0.1确定;
Ka′——以A′B为假想堤背而培土坡面与水平成β角时的主动土压力系数可按式(5.2.3-8)计算或按本规范附录A表A.0.2确定;
φ——培土的内摩擦角(°),当无实验资料时,可根据土的性质取35°~40°。
2 当H1﹤H2时,土压力合力及弯矩可按下列公式计算:
PTk=1/2pBkH1 (5.2.3-9)
MTk=PTkH0 (5.2.3-10)
H0=1/3H1 (5.2.3-11)
式中:PTk——计算截面以上每米堤长静土压力合力标准值(kN/m);MTk=PTkH0 (5.2.3-10)
H0=1/3H1 (5.2.3-11)
MTk——计算截面以上每米堤长静土压力合力对计算截面的弯矩标准值(kN•m/m);
H0 ——计算截面以上每米堤长静土压力合力作用位置至计算截面的距离(m)。
3 当H1≥H2时,土压力合力及弯矩可按下列公式计算:
1 钢筋混凝土防火堤的水平地震作用(图5.2.4-1)标准值可按下列公式计算:

PEGK ——计算截面以上每米堤长水平地震作用合力标准值(kN/m);
MEGK——计算截面以上每米堤长水平地震作用合力对计算截面的弯矩标准值(kN•m/m);
αmax ——水平地震影响系数最大值,当设防烈度为7度、8度和9度时分别取0.08(0.12)、0.16(0.24)和0.32,括号内数值分别用于设计基本地震加速度为0.15g和0.30g的地区;
ηl ——钢筋混凝土防火堤基本振型参与系数,取1.6;
Χ ——计算截面至基础顶面的距离(m);
α1、α2——根据X/H值求得的相应系数,按表5.2.4确定;
H0——计算截面以上每米堤长水平地震作用合力作用点至计算截面的距离(m);
H——基础顶面至堤顶的高度(m);
B1——计算截面以上堤身平均厚度(m)。
2 砖、砌块及毛石防火堤的水平地震作用(图5.2.4-2)可按下列公式计算:
α3、α4——根据X/H比值求得的相应系数,按表5.2.4确定。
表5.2.4系数α1、α2、α3、α4数值表
| X/H | α1 | α2 | α3 | α4 | X/H | α1 | α2 | α3 | α4 |
| 0.00 | 0.3634 | 0.7393 | 0.6366 | 0.6878 | 0.30 | 0.3524 | 0.4554 | 0.5672 | 0.3902 |
| 0.05 | 0.3633 | 0.6895 | 0.6347 | 0.5885 | 0.35 | 0.3460 | 0.4133 | 0.5428 | 0.3566 |
| 0.10 | 0.3630 | 0.6394 | 0.6288 | 0.5437 | 0.40 | 0.3376 | 0.3729 | 0.5150 | 0.3245 |
| 0.15 | 0.3620 | 0.5917 | 0.6190 | 0.5019 | 0.45 | 0.3268 | 0.3345 | 0.4841 | 0.2935 |
| 0.20 | 0.3601 | 0.5447 | 0.6055 | 0.4625 | 0.50 | 0.3135 | 0.3591 | 0.4502 | 0.2636 |
| 0.25 | 0.3570 | 0.4992 | 0.5882 | 0.4253 | 0.55 | 0.2975 | 0.2621 | 0.4135 | 0.2348 |
| 0.60 | 0.2784 | 0.2284 | 0.3742 | 0.2069 | 0.80 | 0.1688 | 0.1063 | 0.1967 | 0.1010 |
| 0.65 | 0.2562 | 0.1959 | 0.3326 | 0.1797 | 0.85 | 0.1324 | 0.0784 | 0.1486 | 0.0755 |
| 0.70 | 0.2306 | 0.1649 | 0.2890 | 0.1529 | 0.90 | 0.0922 | 0.0510 | 0.0996 | 0.0500 |
| 0.75 | 0.2015 | 0.1351 | 0.2436 | 0.1268 | 0.95 | 0.0480 | 0.0261 | — | — |
5.2.5 地震作用时,防火堤内水平动液压力标准值(图5.2.5)可按下列公式计算:
fd——水平动液压力系数,取0.35;
Hd——液体深度(m);
PEYk——计算截面以上每米堤长水平动液压力合力标准值(kN/m);
MEYk——计算截面以上每米堤长水平动液压力合力对计算截面的弯矩标准值(kN•m/m);
HY——计算截面至液面的距离(m)。
5.2.6 地震作用时,防火堤培土的水平动土压力标准值可按下列公式计算:
PETk=1.25αmaxPTktanφ (5.2.6-1)
METk=0.4HTPETk (5.2.6-2)
式中:PETk——计算截面以上每米堤长水平动土压力合力标准值(kN/m);METk——计算截面以上每米堤长水平动土压力合力对计算截面的弯矩标准值(kN•m/m);
PTk——土压力合力标准值(kN/m),可按本规范式(5.2.3-9)或(5.2.3-12)计算确定;
HT——计算截面以上培土高度(m)。
条文说明
5.2 荷载、地震作用及内力计算
5.2.2 本条至第5.2.6条中的水平力和弯矩的计算公式,只适用于计算截面取在地面线以上或地面线上的情况。至于地面线以下的截面内力,可根据地面线处的截面内力进行换算确定。
5.2.3 防火堤内培土静压力的计算公式是根据库伦主动土压力理论并按培土与水平夹角为一β推导出来的。根据图5.2.3,延长培土倾斜面交堤面延长线于A′点,分别计算堤背为AB而填土面为水平时主动土压力强度分布图形ABC,及以堤背为A′B而填土表面倾角为一β时的主动土压力强度分布图形A′BD,这两个图形交于F点,则实际计算截面以上主动土压力强度分布图形可近似取图中的ABDFA,它的面积就是主动土压力PT的近似值。对于粉土、粉质黏土及黏土,可将其内摩擦角直接代入公式计算,即不考虑它们的黏聚力,仍按无黏性土计算主动土压力,这样使计算简化,并偏于安全。
5.2.4 规范给出的防火堤水平地震作用的计算方法分为下列两种情况。
1由于钢筋混凝土堤的高厚比一般都大于4,在水平地震作用下,以弯曲变形为主。本规范给出的计算公式(5.2.4-1)~(5.2.4-4)就是以纯弯曲变形理论为基础确定的。为了简化计算,选用了比较简单的振型函数(图2):
转角:
当检验上端力的边界条件:当χ=H时,
弯矩:
满足
满足
剪力:
不满足。
可见式(1)除自由端剪力不满足力的边界条件外,其他边界条件均能满足。
不满足。
用能量法计算上式所表达的振动的固有频率为:
2 砖石砌体防火堤一般为变截面的悬臂结构。其高厚比一般在2~4之间。经过实算,接近于纯剪切变形。规范中表达水平地震作用的分布值公式(5.2.4-5)就是按等截面纯剪切理论推导出来的,其振型函数为:
式(6)~式(9)
5.2.6 水平动土压力的计算公式参照《室外给水排水和燃气热力工程抗震设计规范》GB50032-2003第6.2.4条制订。由于动土压力的合力与动土压力分布值成正比,为了简化计算,本规范把上述规范动土压力分布值直接换算成动土压力合力值;该条公式中的水平地震加速度与重力加速度的比值用1.25αmax代替。
为了简化计算,取动土压力的力矩为0.4HT,偏于安全。
- 上一节:5.1 荷载效应和地震作用效应的组合
- 下一节:5.3 强度计算