4.6 结构动力计算
4.6.1 当采用等效静荷载法进行结构动力计算时,宜将结构体系拆成顶板、外墙、底板等结构构件,分别按单独的等效单自由度体系进行动力分析。
4.6.2 在常规武器爆炸动荷载或核武器爆炸动荷载作用下,结构构件的工作状态均可用结构构件的允许延性比[β]表示。对砌体结构构件,允许延性比[β]值应取1.0;对钢筋混凝土结构构件,允许延性比[β]可按表4.6.2取值。
式中 qce1、qce2——分别为作用在顶板、外墙的均布等效静荷载标准值。
pc1、pc2——分别为作用在顶板、外墙的均布动荷载最大压力(kN/m2);
Kdc1、Kdc2——分别为顶板、外墙的动力系数,可按本规范第4.6.5条确定。
4.6.4 在核武器爆炸动荷载作用下,顶板、外墙、底板的均布等效静荷载标准值,可分别按下列公式计算确定:
式中 qe1、qe2、qe3——分别为作用在顶板、外墙及底板的均布等效静荷载标准值;
Pc1、Pc2、Pc3——分别为作用在顶板、外墙及底板的动荷载最大压力(kN/m2);
Kd1、Kd2、Kd3——分别为顶板、外墙和底板的动力系数,可按本规范第4.6.5条及第4.6.7条确定。
4.6.5 结构构件的动力系数Kd,应按下列规定确定:
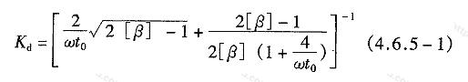
1 当常规武器爆炸动荷载波形简化为无升压时间的三角形时,根据结构构件自振圆频率ω、动荷载等效作用时间t0及允许延性比[β]按下列公式计算确定:
2 当常规武器爆炸动荷载的波形简化为有升压时间的三角形时,根据结构构件自振圆频率ω、动荷载升压时间tr、动荷载等效作用时间td及允许延性比[β]按下列公式计算确定:
式中 ξ ——动荷载升压时间对结构动力响应的影响系数;
Kd——无升压时间的三角形动荷载作用下结构构件的动力系数,应按式(4.6.5-1)计算确定,此时式中t0改用td;
3 当核武器爆炸动荷载的波形简化为无升压时间的三角形时,根据结构构件的允许延性比[β]按下列公式计算确定:
4 当核武器爆炸动荷载的波形简化为有升压时间的平台形时,根据结构构件自振圆频率ω、升压时间t0h及允许延性比[β]按表4.6.5确定。
4.6.7 在核武器爆炸动荷载作用下,结构底板的动力系数Kd3可取1.0,扩散室与防空地下室内部房间相邻的临空墙动力系数可取1.30。
条文说明
4.6 结构动力计算
4.6.1 等效静荷载法一般适用于单个构件。然而,防空地下室结构是个多构件体系,如有顶、底板、墙、梁、柱等构件,其中顶、底板与外墙直接受到不同峰值的外加动荷载,内墙、柱、梁等承受上部构件传来的动荷载。由于动荷载作用的时间有先后,动荷载的变化规律也不一致,因此对结构体系进行综合的精确分析是较为困难的,故一般均采用近似方法,将它拆成单个构件,每一个构件都按单独的等效体系进行动力分析。各构件之间支座条件应按近于实际支承情况来选取。例如对钢筋混凝土结构,顶板与外墙之间二者刚度相接近,可近似按固端与铰支之间的支座情况考虑。在底板与外墙之间,由于二者刚度相差较大,在计算外墙时可视作固定端。
对通道或其它简单、规则的结构,也可近似作为一个整体构件按等效静荷载法进行动力计算。
4.6.2 结构构件的允许延性比[β],系指构件允许出现的最大变位与弹性极限变位的比值。显然,当[β]≤1时,结构处于弹性工作阶段;当[β]>1时,构件处于弹塑性工作阶段。因此允许延性比虽然不完全反映结构构件的强度、挠度及裂缝等情况,但与这三者都有密切的关系,且能直接表明结构构件所处极限状态。根据试验资料,用允许延性比表示结构构件的工作状态,既简单适用,又比较合理,故本次规范修订时仍沿用按允许延性比表示结构构件工作状态。
结构构件的允许延性比,主要与结构构件的材料、受力特征及使用要求有关。如结构构件具有较大的允许延性比,则能较多地吸收动能,对于抵抗动荷载是十分有利的。本条确定在核武器爆炸动荷载作用下结构构件允许延性比[β]值时,主要参考了以下资料:
1 试验研究成果:
1) 砖砌体和混凝土轴心受压构件的设计延性比可取1.1~1.3;
2) 钢筋混凝土构件的设计延性比,一般可按表4-2取用。
1) 当β=1时,钢筋应力不大于计算应力,结构无残余变形;
2) 当β=2~3时,受拉区混凝土出现微细裂缝,但观察不到穿透裂缝,仍保持结构的承载力和气密性;
3) 当β=4~5时,用于不要求保持气密性和密闭性的防护建筑外墙;
3 《人民防空工程设计资料》提出:
1) 对于不要求保持密闭性的人防工事取延性比为4~5;
2) 对于要求保持密闭性的人防工事取延性比为2~3;
4 《防护结构设计原理和方法》(《美国空军手册》)推荐使用延性系数值为:
1) 对于较脆性的结构,取1~3;
2) 对于中等脆性的结构,取2~3;
3) 对于完全柔性的结构,取10~20。
综合上述资料,本条规定在核武器爆炸动荷载作用下,结构构件的允许延性比[β]按表4.6.2取值。
由于防空地下室不考虑常规武器的直接命中,只按防非直接命中的地面爆炸作用设计,常规武器爆炸动荷载对结构构件往往只产生局部作用;又由于常规武器爆炸动荷载作用时间较短(相对于核武器爆炸动荷载),易使结构构件产生变形回弹,故本条规定在常规武器爆炸动荷载作用下,结构构件允许延性比可比核武器爆炸作用时取的大一些,以充分发挥结构材料的塑性性能,更多地吸收爆炸能量。
4.6.5 本条给出的动力系数计算公式是将结构构件简化为等效单自由度体系,进行无阻尼弹塑性体系强迫振动的动力分析得出的。
当核武器爆炸动荷载波形为无升压时间的三角形时,由于其有效正压作用时间远大于结构构件达到最大变位的时间,因此其等效作用时间可进一步近似取为无穷大,即可看成突加平台形荷载。在突加平台形荷载作用下,动力系数仅与结构构件允许延性比有关,而与结构的其它特性无关。
当核武器爆炸动荷载的波形为有升压时间平台形时,按下式进行计算,并取其包络线,得出对应各种不同[β]值的Kd值:
对于一般钢筋混凝土受弯或大偏心受压构件,按上式求得的Kd值可能小于1.05,从偏于安全考虑,取Kd≥1.05。为方便设计,该动力系数以表格形式给出。
4.6.6 按等效单自由度体系进行结构动力分析时,较为重要的问题是正确选择振型。在强迫振动下哪一种主振型占主要成分与动载的分布形式有很大关系,一般来说与以动载作为静载作用时的挠曲线相接近的主振型起着主导作用,因此宜取将动载视作静载所产生的静挠曲线形状作为基本振型。通常即使振动形状稍有差别,对动力分析结果并不会产生明显影响。为了简化计算,也可挑选一个与静挠曲线形状相近的主振型作为假定基本振型,如对均布荷载下简支梁可取第一振型,对三跨等跨连续梁可取第三振型。
由于本规范在动荷载确定中已考虑了土与结构的相互作用影响,所以在计算土中结构自振频率时,不再考虑覆土附加质量的影响。
4.6.7 作用在结构底板上的动荷载主要是结构受到顶板动荷载后往下运动使地基产生的反力。由于底板动荷载升压时间较长,故其动力系数可取1.0。
扩散室与防空地下室内部房间相邻的临空墙只承受消波系统的余压作用,临空墙的允许延性比取1.5,按公式(4.6.5-4)计算动力系数为1.5。考虑到扩散室的扩散作用,动力效应降低,动力系数乘以0.85的折减系数后取1.3。
4.6.2 在常规武器爆炸动荷载或核武器爆炸动荷载作用下,结构构件的工作状态均可用结构构件的允许延性比[β]表示。对砌体结构构件,允许延性比[β]值应取1.0;对钢筋混凝土结构构件,允许延性比[β]可按表4.6.2取值。
表4.6.2 钢筋混凝土结构构件的允许延性比[β]值
4.6.3 在常规武器爆炸动荷载作用下,顶板、外墙的均布等效静荷载标准值,可分别按下列公式计算确定:
pc1、pc2——分别为作用在顶板、外墙的均布动荷载最大压力(kN/m2);
Kdc1、Kdc2——分别为顶板、外墙的动力系数,可按本规范第4.6.5条确定。
4.6.4 在核武器爆炸动荷载作用下,顶板、外墙、底板的均布等效静荷载标准值,可分别按下列公式计算确定:
Pc1、Pc2、Pc3——分别为作用在顶板、外墙及底板的动荷载最大压力(kN/m2);
Kd1、Kd2、Kd3——分别为顶板、外墙和底板的动力系数,可按本规范第4.6.5条及第4.6.7条确定。
4.6.5 结构构件的动力系数Kd,应按下列规定确定:
1 当常规武器爆炸动荷载波形简化为无升压时间的三角形时,根据结构构件自振圆频率ω、动荷载等效作用时间t0及允许延性比[β]按下列公式计算确定:
Kd——无升压时间的三角形动荷载作用下结构构件的动力系数,应按式(4.6.5-1)计算确定,此时式中t0改用td;
3 当核武器爆炸动荷载的波形简化为无升压时间的三角形时,根据结构构件的允许延性比[β]按下列公式计算确定:
表4.6.5 动力系数Kd
4.6.6 按等效静荷载法进行结构动力分析时,宜取与动荷载分布规律相似的静荷载作用下产生的挠曲线作为基本振型。确定自振圆频率时,可不考虑土的附加质量影响。
4.6.7 在核武器爆炸动荷载作用下,结构底板的动力系数Kd3可取1.0,扩散室与防空地下室内部房间相邻的临空墙动力系数可取1.30。
条文说明
4.6.1 等效静荷载法一般适用于单个构件。然而,防空地下室结构是个多构件体系,如有顶、底板、墙、梁、柱等构件,其中顶、底板与外墙直接受到不同峰值的外加动荷载,内墙、柱、梁等承受上部构件传来的动荷载。由于动荷载作用的时间有先后,动荷载的变化规律也不一致,因此对结构体系进行综合的精确分析是较为困难的,故一般均采用近似方法,将它拆成单个构件,每一个构件都按单独的等效体系进行动力分析。各构件之间支座条件应按近于实际支承情况来选取。例如对钢筋混凝土结构,顶板与外墙之间二者刚度相接近,可近似按固端与铰支之间的支座情况考虑。在底板与外墙之间,由于二者刚度相差较大,在计算外墙时可视作固定端。
对通道或其它简单、规则的结构,也可近似作为一个整体构件按等效静荷载法进行动力计算。
4.6.2 结构构件的允许延性比[β],系指构件允许出现的最大变位与弹性极限变位的比值。显然,当[β]≤1时,结构处于弹性工作阶段;当[β]>1时,构件处于弹塑性工作阶段。因此允许延性比虽然不完全反映结构构件的强度、挠度及裂缝等情况,但与这三者都有密切的关系,且能直接表明结构构件所处极限状态。根据试验资料,用允许延性比表示结构构件的工作状态,既简单适用,又比较合理,故本次规范修订时仍沿用按允许延性比表示结构构件工作状态。
结构构件的允许延性比,主要与结构构件的材料、受力特征及使用要求有关。如结构构件具有较大的允许延性比,则能较多地吸收动能,对于抵抗动荷载是十分有利的。本条确定在核武器爆炸动荷载作用下结构构件允许延性比[β]值时,主要参考了以下资料:
1 试验研究成果:
1) 砖砌体和混凝土轴心受压构件的设计延性比可取1.1~1.3;
2) 钢筋混凝土构件的设计延性比,一般可按表4-2取用。
表4-2 钢筋混凝土构件的设计延性比
2 有关规定:
1) 当β=1时,钢筋应力不大于计算应力,结构无残余变形;
2) 当β=2~3时,受拉区混凝土出现微细裂缝,但观察不到穿透裂缝,仍保持结构的承载力和气密性;
3) 当β=4~5时,用于不要求保持气密性和密闭性的防护建筑外墙;
3 《人民防空工程设计资料》提出:
1) 对于不要求保持密闭性的人防工事取延性比为4~5;
2) 对于要求保持密闭性的人防工事取延性比为2~3;
4 《防护结构设计原理和方法》(《美国空军手册》)推荐使用延性系数值为:
1) 对于较脆性的结构,取1~3;
2) 对于中等脆性的结构,取2~3;
3) 对于完全柔性的结构,取10~20。
综合上述资料,本条规定在核武器爆炸动荷载作用下,结构构件的允许延性比[β]按表4.6.2取值。
由于防空地下室不考虑常规武器的直接命中,只按防非直接命中的地面爆炸作用设计,常规武器爆炸动荷载对结构构件往往只产生局部作用;又由于常规武器爆炸动荷载作用时间较短(相对于核武器爆炸动荷载),易使结构构件产生变形回弹,故本条规定在常规武器爆炸动荷载作用下,结构构件允许延性比可比核武器爆炸作用时取的大一些,以充分发挥结构材料的塑性性能,更多地吸收爆炸能量。
4.6.5 本条给出的动力系数计算公式是将结构构件简化为等效单自由度体系,进行无阻尼弹塑性体系强迫振动的动力分析得出的。
当核武器爆炸动荷载波形为无升压时间的三角形时,由于其有效正压作用时间远大于结构构件达到最大变位的时间,因此其等效作用时间可进一步近似取为无穷大,即可看成突加平台形荷载。在突加平台形荷载作用下,动力系数仅与结构构件允许延性比有关,而与结构的其它特性无关。
当核武器爆炸动荷载的波形为有升压时间平台形时,按下式进行计算,并取其包络线,得出对应各种不同[β]值的Kd值:
4.6.6 按等效单自由度体系进行结构动力分析时,较为重要的问题是正确选择振型。在强迫振动下哪一种主振型占主要成分与动载的分布形式有很大关系,一般来说与以动载作为静载作用时的挠曲线相接近的主振型起着主导作用,因此宜取将动载视作静载所产生的静挠曲线形状作为基本振型。通常即使振动形状稍有差别,对动力分析结果并不会产生明显影响。为了简化计算,也可挑选一个与静挠曲线形状相近的主振型作为假定基本振型,如对均布荷载下简支梁可取第一振型,对三跨等跨连续梁可取第三振型。
由于本规范在动荷载确定中已考虑了土与结构的相互作用影响,所以在计算土中结构自振频率时,不再考虑覆土附加质量的影响。
4.6.7 作用在结构底板上的动荷载主要是结构受到顶板动荷载后往下运动使地基产生的反力。由于底板动荷载升压时间较长,故其动力系数可取1.0。
扩散室与防空地下室内部房间相邻的临空墙只承受消波系统的余压作用,临空墙的允许延性比取1.5,按公式(4.6.5-4)计算动力系数为1.5。考虑到扩散室的扩散作用,动力效应降低,动力系数乘以0.85的折减系数后取1.3。
- 上一节:4.5 核武器爆炸动荷载
- 下一节:4.7 常规武器爆炸动荷载作用下结构等效静荷载