4.5 核武器爆炸动荷载
4.5.1 全埋式防空地下室结构上的核武器爆炸动荷载,可按同时均匀作用在结构各部位进行受力分析(图4.5.1a)。
当核6级和核6B级防空地下室顶板底面高出室外地面时,尚应验算地面空气冲击波对高出地面外墙的单向作用(图4.5.1b)。
1 顶板计算中不考虑上部建筑影响的防空地下室:
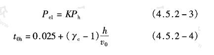
式中 Pc1——防空地下室结构顶板的核武器爆炸动荷载最大压力(kN/m2);
K——顶板核武器爆炸动荷载综合反射系数,可按本规范第4.5.3条确定;
Ph——核武器爆炸土中压缩波的最大压力(kN/m2),可按本规范第4.4.3条确定;
h——顶板的覆土厚度(m);
v0——土的起始压力波速(m/s),可按本规范第4.4.3条确定;
γc——波速比,可按本规范第4.4.3条确定;
2 顶板计算中考虑上部建筑影响的防空地下室:
4.5.3 结构顶板核武器爆炸动荷载综合反射系数K可按下列规定确定:
1 覆土厚度h为0时,K=1.0;
2 覆土厚度h大于或等于结构不利覆土厚度hm时,非饱和土的K值可按表4.5.3确定,饱和土的K值可按下列规定确定:
1) 当△Pm(N/mm2)≥20α1时,平顶结构K=2.0,非平顶结构K=1.8;
2) 当△Pm(N/mm2)≤16α1时,K值按非饱和土确定;
3) 当16α1<△Pm(N/mm2)<20α1时,K值按线性内插法确定;
3 结构顶板覆土厚度h小于结构不利覆土厚度hm时,K值可按线性内插法确定。对主体结构,当结构顶板覆土厚度h不大于0.5m时,综合反射系数K值可取1.0。
2 非平顶结构综合反射系数取表中数值的0.9倍。
4.5.4 土中结构顶板的不利覆土厚度hm,可按表4.5.4-1、表4.5.4-2采用。
2 hm为取顶板允许延性比[β]=3时与l0对应的土中结构不利覆土厚度。
2 hm为取顶板允许延性比[β]=3时与l0对应的土中结构不利覆土厚度。
4.5.5 土中结构外墙上的水平均布核武器爆炸动荷载的最大压力Pc2及升压时间t0h可按下列公式计算:
式中 Pc2——土中结构外墙上的水平均布核武器爆炸动荷载的最大压力(kN/m2);
ξ——土的侧压系数。当无实测资料时,可按表4.5.5采用。
2 非饱和粘性土:液性指数低的取小值;
3 饱和粘性土、饱和砂土:含气量α1≤0.1%时取大值。
4.5.6 当核6级、核6B级防空地下室的顶板底面按本规范第3.2.15 条规定高出室外地面,直接承受空气冲击波作用的外墙最大水平均布压力Pc2' 可取2△Pm。
4.5.7 结构底板上核武器爆炸动荷载最大压力可按下列公式计算:
式中 Pc3——结构底板上核武器爆炸动荷载最大压力(kN/m2);
η——底压系数,当底板位于地下水位以上时取0.7~0.8,其中核4B级及核4级时取小值;当底板位于地下水位以下时取0.8~1.0,其中含气量α1≤0.1%时取大值。
4.5.8 作用在防空地下室出入口通道内临空墙、门框墙上的核武器爆炸空气冲击波最大压力Pc值,可按表4.5.8确定。
4.5.9 防空地下室战时非主要出入口,除临空墙外,其它与防空地下室无关的墙、楼梯踏步和休息平台等均不考虑核武器爆炸动荷载作用。
4.5.10 防空地下室室外出入口土中通道结构上的核武器爆炸动荷载,可按下列规定确定:
1 有顶盖段通道结构,按承受土中压缩波产生的核武器爆炸动荷载计算,其值可按本规范第4.5.2~4.5.5条及第4.5.7条确定;
2 无顶盖敞开段通道结构,可不验算核武器爆炸动荷载作用;
3 土中竖井结构,无论有无顶盖,均按由土中压缩波产生的法向均布动荷载计算,其值可按本规范第4.5.5条确定。
4.5.11 作用在扩散室与防空地下室内部房间相邻的临空墙上最大压力,可按消波系统的余压确定。作用在与土直接接触的扩散室顶板、外墙及底板上的核武器爆炸动荷载可按本规范第4.5.2~4.5.7条确定。
条文说明
4.5 核武器爆炸动荷载
4.5.1 对全埋式防空地下室,考虑到空气冲击波的传播速度一般比土中压缩波传播速度快,因而土中压缩波的波阵面与地表之间夹角比较小,可近似将土中压缩波看成是垂直向下传播的一维波。又由于防空地下室尺寸相对于压缩波波长较小,因而可进一步假定按同时均匀作用于结构各部位设计。
对顶板底面高出室外地面的防空地下室,迎爆面高出地面的外墙将首先受到空气冲击波作用。考虑到从迎爆面的外墙开始受荷到背面墙受荷,会有一定的时间间隔,且背面墙上所受荷载要比迎爆面小,为简化计算,本条规定仅对高出地面的外墙考虑迎爆面单面受荷。另外由于空气冲击波的实际作用方向不确定,所以设计时应考虑四周高出地面的外墙均可能成为迎爆面。
4.5.3 对于覆土厚度大于或等于不利覆土厚度的综合反射系数K值,主要是考虑了不动刚体反射系数、结构刚体位移影响系数以及结构变形影响系数后得出的。另外,研究结果表明:土中小变形结构的顶部荷载,一维效应起主导作用,二维效应影响甚微,即结构外轮廓尺寸的大小对K值的影响很小。故本规范不考虑二维效应这一影响因素。
关于饱和土中压缩波的传播及饱和土中结构动荷载作用规律的分析研究,目前可供应用的资料有限,现根据已进行过的少量核武器爆炸、化爆和室内模爆试验结果,提出了较为粗略的估算方法。
原苏联Г.M.梁霍夫的研究结果认为,当压力P小于某一压力值[P0]时,饱和土的受力机制类似非饱和土(土骨架承力);当压力P大于[P0]时,饱和土呈现它特有的受力机制(主要是空气和水介质的压缩承力),[P0]值取决于含气量a1,见表4-1:
另外对含气量a1=4.4%的淤泥质饱和土进行的室内试验表明,在小于0.6N/mm2压力的作用下,土中压力随着深度的增加,升压时间增长,峰值压力减小,遇不动障碍有反射。由于结构位移较大,所以结构上的压力接近自由场压力,即综合反射系数较小,呈现出非饱和土性质。考虑到含气量a1的量测有误差,所以规定地表超压峰值△Pm≤16a1时,综合反射系数按非饱和土考虑。
当含气量a1=3%~4%,在相当于核5级时的饱和土侧限压缩试验中,应力-应变蓝线呈应变硬化性质。为此,有关单位曾对应变硬化性的介质(密实粗砂)做过系统的一维波传播和遇不动刚体反射试验。试验结果表明:压缩波峰值压力不衰减,不动刚壁反射系数k=2.0~2.6。Г.M.梁霍夫在其化爆试验中曾指出,当水中冲击波在湖泊底部反射且底部为不动障碍时,其k=2~2.04。考虑到应变硬化介质中传播的是击波,所以结构按不动刚体考虑,土性按线弹性介质考虑,取综合反射系数K=2.0。
4.5.4 由于土中压缩波随传播距离的增加峰值压力减小,升压时间增长,其效果是随深度的增加结构的动力作用逐渐降低。另一方面,当压缩波遇到结构顶板时,将会产生反射压缩波并朝反向传播,当它到达自由地表面时,因地表无阻挡面使土体趋向疏松,形成向下传播的拉伸波。拉伸波所到之处压力将迅速降低,当拉伸波传到顶板时,顶板压力也将随之减小。如果顶板埋置较深,拉伸波到达时间较晚,在此之前结构顶板可能已达到最大变形,因而拉伸波不能起到卸荷作用;如果顶板埋深很浅,由于拉伸波产生的卸荷作用,将会抵消大部分入射波在顶板上形成的反射作用。根据以上多种影响因素综合考虑,承受压缩波作用的土中浅埋结构,会有一个顶板不利覆土厚度。通过试验分析,其不利覆土厚度的大小,主要与地面超压值、结构自振频率以及结构允许延性比等因素有关。为便于使用,本条给出的不利覆土厚度,是经综合分析后简化得出的。
4.5.5 为与表4.4.3-1相对应,表4.5.5中增加了老粘性土、红粘土、湿陷性黄土、淤泥质土的侧压系数。
4.5.6 当防空地下室顶板底面高出室外地面时,高出地面的外墙将承受空气冲击波直接作用。考虑到地面建筑外墙一般开有孔洞,迎爆面冲击波将产生明显的环流效应,故可近似取反射系数的下限值2.0。由此可取防空地下室高出室外地面外墙的最大水平均布压力为2△Pm。
4.5.7 作用在结构底板上的核武器爆炸动荷载主要是结构受到顶板动荷载后往下运动从而使地基产生的反力,即结构底部压力由地基反力构成。根据近年来对土中一维压缩波与结构相互作用理论及有限元法分析研究结果,地下水位以上的结构底板底压系数为0.7~0.8;地下水位以下的结构底板底压系数为0.8~1.0。
4.5.8 作用在防空地下室出入口通道内临空墙、门框墙上的最大压力值,是按下述考虑确定的。
对顶板荷载考虑上部建筑影响的室内出入口,其需符合的具体条件及入射冲击波参数均按本规范第4.4.4~4.4.6条规定确定。根据试验,当入射超压相当于核5级左右时,有升压时间的冲击波反射超压不会大于入射超压的二倍。因此,本条取反射系数值等于2。
对室外竖井、楼梯、穿廊出入口以及顶板荷载不考虑上部建筑影响的室内出入口,其内部临空墙、门框墙的最大压力值均按1.98△Pm(近似取2.0△Pm)计算确定。
对量大面广的核5级、核6和核6B级防空地下室,其室外直通、单向出入口按出入口坡道坡度分为ζ<30°及ζ≥30°两种情况分别确定临空墙最大压力,其中ζ<30°时按正反射公式计算确定,ζ≥30°时按激波管试验及有关公式计算后综合分析确定。对核4级和核4B级的防空地下室,按有一定夹角的有关公式计算确定。
4.5.9 室内出入口在遭受核袭击时,如何防止被上部建筑的倒塌物及邻近建筑的飞散物所堵塞是个很难解决的问题,故在本规范中规定,防空地下室一般以室外出入口作为战时使用的主要出入口。为此,如再考虑将室内出入口内与防空地下室无关的墙或楼梯进行防护加固,不仅加固范围难以确定,而且亦难以保证其不被堵塞,故无实际意义。所以本条规定,对于与防空地下室无关的部位不考虑核武器爆炸动荷载作用。
4.5.10 在核武器爆炸动荷载作用下,室外出入日通道结构既受土中压缩波外压,又受自口部直接进入的冲击波内压,由于二者作用时间不同,很难综合考虑。结合试验成果,本条在保证出入口不致倒塌(一般允许出现裂缝)的前提下,规定出入口结构的封闭段(有顶盖段)及竖井结构仅按外压考虑。这是因为虽然内压一般大于外压,但在内压作用下土中通道结构通常只出现裂缝,不致向通道内侧倒塌而使通道堵塞。对于无顶盖的敞开段通道,试验表明,仅按外部土压和地面堆积物超载设计的结构在核武器爆炸动荷载作用下,没有出现破坏堵塞的情况。因此本条规定敞开段通道不考虑核武器爆炸动荷载作用。
4.5.11 与土直接接触的扩散室顶板、外墙及底板与有顶盖的通道结构类似,既受土中压缩波外压,又受自消波系统口部进入的冲击波余压(内压)作用。由于外压和内压作用时间不同,且在内压作用下土中结构通常只出现裂缝,不致向内侧倒塌,故与土直接接触的扩散室顶板、外墙及底板只按承受外压作用考虑。
当核6级和核6B级防空地下室顶板底面高出室外地面时,尚应验算地面空气冲击波对高出地面外墙的单向作用(图4.5.1b)。
图4.5.1 结构周边核武器爆炸动荷载作用方式
4.5.2 防空地下室结构顶板的核武器爆炸动荷载最大压力Pc1及升压时间t0h可按下列公式计算:1 顶板计算中不考虑上部建筑影响的防空地下室:
K——顶板核武器爆炸动荷载综合反射系数,可按本规范第4.5.3条确定;
Ph——核武器爆炸土中压缩波的最大压力(kN/m2),可按本规范第4.4.3条确定;
h——顶板的覆土厚度(m);
v0——土的起始压力波速(m/s),可按本规范第4.4.3条确定;
γc——波速比,可按本规范第4.4.3条确定;
2 顶板计算中考虑上部建筑影响的防空地下室:
1 覆土厚度h为0时,K=1.0;
2 覆土厚度h大于或等于结构不利覆土厚度hm时,非饱和土的K值可按表4.5.3确定,饱和土的K值可按下列规定确定:
1) 当△Pm(N/mm2)≥20α1时,平顶结构K=2.0,非平顶结构K=1.8;
2) 当△Pm(N/mm2)≤16α1时,K值按非饱和土确定;
3) 当16α1<△Pm(N/mm2)<20α1时,K值按线性内插法确定;
3 结构顶板覆土厚度h小于结构不利覆土厚度hm时,K值可按线性内插法确定。对主体结构,当结构顶板覆土厚度h不大于0.5m时,综合反射系数K值可取1.0。
表4.5.3 h≥hm时非饱和土的综合反射系数K值
注:1 多层结构综合反射系数取表中数值的1.05倍;
2 非平顶结构综合反射系数取表中数值的0.9倍。
4.5.4 土中结构顶板的不利覆土厚度hm,可按表4.5.4-1、表4.5.4-2采用。
表4.5.4-1 核6B级、核6级、核5级防空地下室土中结构顶板不利覆土厚度
注:1 l0为顶板净跨,双向板取短边净跨;对多跨结构,取最大短边净跨;
2 hm为取顶板允许延性比[β]=3时与l0对应的土中结构不利覆土厚度。
表4.5.4-2 核4级、核4B级防空地下室土中结构顶板不利覆土厚度
注:1 l0为顶板净跨,双向板取短边净跨;对多跨结构,取最大短边净跨;
2 hm为取顶板允许延性比[β]=3时与l0对应的土中结构不利覆土厚度。
4.5.5 土中结构外墙上的水平均布核武器爆炸动荷载的最大压力Pc2及升压时间t0h可按下列公式计算:
ξ——土的侧压系数。当无实测资料时,可按表4.5.5采用。
表4.5.5 核武器爆炸动荷载作用下土的侧压系数ξ值
注:1 碎石土及非饱和砂土:密实、颗粒粗的取小值;
2 非饱和粘性土:液性指数低的取小值;
3 饱和粘性土、饱和砂土:含气量α1≤0.1%时取大值。
4.5.6 当核6级、核6B级防空地下室的顶板底面按本规范第3.2.15 条规定高出室外地面,直接承受空气冲击波作用的外墙最大水平均布压力Pc2' 可取2△Pm。
4.5.7 结构底板上核武器爆炸动荷载最大压力可按下列公式计算:
η——底压系数,当底板位于地下水位以上时取0.7~0.8,其中核4B级及核4级时取小值;当底板位于地下水位以下时取0.8~1.0,其中含气量α1≤0.1%时取大值。
4.5.8 作用在防空地下室出入口通道内临空墙、门框墙上的核武器爆炸空气冲击波最大压力Pc值,可按表4.5.8确定。
表4.5.8 出入口通道内临空墙、门框墙最大压力Pc值
注:ζ 为直通、单向出入口坡逼的坡度角。
4.5.9 防空地下室战时非主要出入口,除临空墙外,其它与防空地下室无关的墙、楼梯踏步和休息平台等均不考虑核武器爆炸动荷载作用。
4.5.10 防空地下室室外出入口土中通道结构上的核武器爆炸动荷载,可按下列规定确定:
1 有顶盖段通道结构,按承受土中压缩波产生的核武器爆炸动荷载计算,其值可按本规范第4.5.2~4.5.5条及第4.5.7条确定;
2 无顶盖敞开段通道结构,可不验算核武器爆炸动荷载作用;
3 土中竖井结构,无论有无顶盖,均按由土中压缩波产生的法向均布动荷载计算,其值可按本规范第4.5.5条确定。
4.5.11 作用在扩散室与防空地下室内部房间相邻的临空墙上最大压力,可按消波系统的余压确定。作用在与土直接接触的扩散室顶板、外墙及底板上的核武器爆炸动荷载可按本规范第4.5.2~4.5.7条确定。
条文说明
4.5.1 对全埋式防空地下室,考虑到空气冲击波的传播速度一般比土中压缩波传播速度快,因而土中压缩波的波阵面与地表之间夹角比较小,可近似将土中压缩波看成是垂直向下传播的一维波。又由于防空地下室尺寸相对于压缩波波长较小,因而可进一步假定按同时均匀作用于结构各部位设计。
对顶板底面高出室外地面的防空地下室,迎爆面高出地面的外墙将首先受到空气冲击波作用。考虑到从迎爆面的外墙开始受荷到背面墙受荷,会有一定的时间间隔,且背面墙上所受荷载要比迎爆面小,为简化计算,本条规定仅对高出地面的外墙考虑迎爆面单面受荷。另外由于空气冲击波的实际作用方向不确定,所以设计时应考虑四周高出地面的外墙均可能成为迎爆面。
4.5.3 对于覆土厚度大于或等于不利覆土厚度的综合反射系数K值,主要是考虑了不动刚体反射系数、结构刚体位移影响系数以及结构变形影响系数后得出的。另外,研究结果表明:土中小变形结构的顶部荷载,一维效应起主导作用,二维效应影响甚微,即结构外轮廓尺寸的大小对K值的影响很小。故本规范不考虑二维效应这一影响因素。
关于饱和土中压缩波的传播及饱和土中结构动荷载作用规律的分析研究,目前可供应用的资料有限,现根据已进行过的少量核武器爆炸、化爆和室内模爆试验结果,提出了较为粗略的估算方法。
原苏联Г.M.梁霍夫的研究结果认为,当压力P小于某一压力值[P0]时,饱和土的受力机制类似非饱和土(土骨架承力);当压力P大于[P0]时,饱和土呈现它特有的受力机制(主要是空气和水介质的压缩承力),[P0]值取决于含气量a1,见表4-1:
表4-1 [P0]与a1关系表
由此提出界限压力[P0]=20a1(N/mm2)。
另外对含气量a1=4.4%的淤泥质饱和土进行的室内试验表明,在小于0.6N/mm2压力的作用下,土中压力随着深度的增加,升压时间增长,峰值压力减小,遇不动障碍有反射。由于结构位移较大,所以结构上的压力接近自由场压力,即综合反射系数较小,呈现出非饱和土性质。考虑到含气量a1的量测有误差,所以规定地表超压峰值△Pm≤16a1时,综合反射系数按非饱和土考虑。
当含气量a1=3%~4%,在相当于核5级时的饱和土侧限压缩试验中,应力-应变蓝线呈应变硬化性质。为此,有关单位曾对应变硬化性的介质(密实粗砂)做过系统的一维波传播和遇不动刚体反射试验。试验结果表明:压缩波峰值压力不衰减,不动刚壁反射系数k=2.0~2.6。Г.M.梁霍夫在其化爆试验中曾指出,当水中冲击波在湖泊底部反射且底部为不动障碍时,其k=2~2.04。考虑到应变硬化介质中传播的是击波,所以结构按不动刚体考虑,土性按线弹性介质考虑,取综合反射系数K=2.0。
4.5.4 由于土中压缩波随传播距离的增加峰值压力减小,升压时间增长,其效果是随深度的增加结构的动力作用逐渐降低。另一方面,当压缩波遇到结构顶板时,将会产生反射压缩波并朝反向传播,当它到达自由地表面时,因地表无阻挡面使土体趋向疏松,形成向下传播的拉伸波。拉伸波所到之处压力将迅速降低,当拉伸波传到顶板时,顶板压力也将随之减小。如果顶板埋置较深,拉伸波到达时间较晚,在此之前结构顶板可能已达到最大变形,因而拉伸波不能起到卸荷作用;如果顶板埋深很浅,由于拉伸波产生的卸荷作用,将会抵消大部分入射波在顶板上形成的反射作用。根据以上多种影响因素综合考虑,承受压缩波作用的土中浅埋结构,会有一个顶板不利覆土厚度。通过试验分析,其不利覆土厚度的大小,主要与地面超压值、结构自振频率以及结构允许延性比等因素有关。为便于使用,本条给出的不利覆土厚度,是经综合分析后简化得出的。
4.5.5 为与表4.4.3-1相对应,表4.5.5中增加了老粘性土、红粘土、湿陷性黄土、淤泥质土的侧压系数。
4.5.6 当防空地下室顶板底面高出室外地面时,高出地面的外墙将承受空气冲击波直接作用。考虑到地面建筑外墙一般开有孔洞,迎爆面冲击波将产生明显的环流效应,故可近似取反射系数的下限值2.0。由此可取防空地下室高出室外地面外墙的最大水平均布压力为2△Pm。
4.5.7 作用在结构底板上的核武器爆炸动荷载主要是结构受到顶板动荷载后往下运动从而使地基产生的反力,即结构底部压力由地基反力构成。根据近年来对土中一维压缩波与结构相互作用理论及有限元法分析研究结果,地下水位以上的结构底板底压系数为0.7~0.8;地下水位以下的结构底板底压系数为0.8~1.0。
4.5.8 作用在防空地下室出入口通道内临空墙、门框墙上的最大压力值,是按下述考虑确定的。
对顶板荷载考虑上部建筑影响的室内出入口,其需符合的具体条件及入射冲击波参数均按本规范第4.4.4~4.4.6条规定确定。根据试验,当入射超压相当于核5级左右时,有升压时间的冲击波反射超压不会大于入射超压的二倍。因此,本条取反射系数值等于2。
对室外竖井、楼梯、穿廊出入口以及顶板荷载不考虑上部建筑影响的室内出入口,其内部临空墙、门框墙的最大压力值均按1.98△Pm(近似取2.0△Pm)计算确定。
对量大面广的核5级、核6和核6B级防空地下室,其室外直通、单向出入口按出入口坡道坡度分为ζ<30°及ζ≥30°两种情况分别确定临空墙最大压力,其中ζ<30°时按正反射公式计算确定,ζ≥30°时按激波管试验及有关公式计算后综合分析确定。对核4级和核4B级的防空地下室,按有一定夹角的有关公式计算确定。
4.5.9 室内出入口在遭受核袭击时,如何防止被上部建筑的倒塌物及邻近建筑的飞散物所堵塞是个很难解决的问题,故在本规范中规定,防空地下室一般以室外出入口作为战时使用的主要出入口。为此,如再考虑将室内出入口内与防空地下室无关的墙或楼梯进行防护加固,不仅加固范围难以确定,而且亦难以保证其不被堵塞,故无实际意义。所以本条规定,对于与防空地下室无关的部位不考虑核武器爆炸动荷载作用。
4.5.10 在核武器爆炸动荷载作用下,室外出入日通道结构既受土中压缩波外压,又受自口部直接进入的冲击波内压,由于二者作用时间不同,很难综合考虑。结合试验成果,本条在保证出入口不致倒塌(一般允许出现裂缝)的前提下,规定出入口结构的封闭段(有顶盖段)及竖井结构仅按外压考虑。这是因为虽然内压一般大于外压,但在内压作用下土中通道结构通常只出现裂缝,不致向通道内侧倒塌而使通道堵塞。对于无顶盖的敞开段通道,试验表明,仅按外部土压和地面堆积物超载设计的结构在核武器爆炸动荷载作用下,没有出现破坏堵塞的情况。因此本条规定敞开段通道不考虑核武器爆炸动荷载作用。
4.5.11 与土直接接触的扩散室顶板、外墙及底板与有顶盖的通道结构类似,既受土中压缩波外压,又受自消波系统口部进入的冲击波余压(内压)作用。由于外压和内压作用时间不同,且在内压作用下土中结构通常只出现裂缝,不致向内侧倒塌,故与土直接接触的扩散室顶板、外墙及底板只按承受外压作用考虑。
- 上一节:4.4 核武器爆炸地面空气冲击波、土中压缩波参数
- 下一节:4.6 结构动力计算