4.3 第二类防雷建筑物的防雷措施
4.3.1 第二类防雷建筑物外部防雷的措施,宜采用装设在建筑物上的接闪网、接闪带或接闪杆,也可采用由接闪网、接闪带或接闪杆混合组成的接闪器。接闪网、接闪带应按本规范附录B的规定沿屋角、屋脊、屋檐和檐角等易受雷击的部位敷设,并应在整个屋面组成不大于10m×10m或12m×8m的网格;当建筑物高度超过45m时,首先应沿屋顶周边敷设接闪带,接闪带应设在外墙外表面或屋檐边垂直面上,也可设在外墙外表面或屋檐边垂直面外。接闪器之间应互相连接。
4.3.2 突出屋面的放散管、风管、烟囱等物体,应按下列方式保护:
1 排放爆炸危险气体、蒸气或粉尘的放散管、呼吸阀、排风管等管道应符合本规范第4.2.1条第2款的规定。
2 排放无爆炸危险气体、蒸气或粉尘的放散管、烟囱,1区、21区、2区和22区爆炸危险场所的自然通风管,0区和20区爆炸危险场所的装有阻火器的放散管、呼吸阀、排风管,以及本规范第4.2.1条第3款所规定的管、阀及煤气和天然气放散管等,其防雷保护应符合下列规定:
1)金属物体可不装接闪器,但应和屋面防雷装置相连。
2)除符合本规范第4.5.7条的规定情况外,在屋面接闪器保护范围之外的非金属物体应装接闪器,并应和屋面防雷装置相连。
4.3.3 专设引下线不应少于2根,并应沿建筑物四周和内庭院四周均匀对称布置,其间距沿周长计算不应大18m。当建筑物的跨度较大,无法在跨距中间设引下线时,应在跨距端设引下线并减小其他引下线的间距,专设引下线的平均间距不应大于18m。
4.3.4 外部防雷装置的接地应和防闪电感应、内部防雷装置、电气和电子系统等接地共用接地装置,并应与引入的金属管线做等电位连接。外部防雷装置的专设接地装置宜围绕建筑物敷设成环形接地体。
4.3.5 利用建筑物的钢筋作为防雷装置时,应符合下列规定:
1 建筑物宜利用钢筋混凝土屋顶、梁、柱、基础内的钢筋作为引下线。本规范第3.0.3条第2~4款、第9款、第10款的建筑物,当其女儿墙以内的屋顶钢筋网以上的防水和混凝土层允许不保护时,宜利用屋顶钢筋网作为接闪器;本规范第3.0.3条第2~4款、第9款、第10款的建筑物为多层建筑,且周围很少有人停留时,宜利用女儿墙压顶板内或檐口内的钢筋作为接闪器。
2 当基础采用硅酸盐水泥和周围土壤的含水量不低于4%及基础的外表面无防腐层或有沥青质防腐层时,宜利用基础内的钢筋作为接地装置。当基础的外表面有其他类的防腐层且无桩基可利用时,宜在基础防腐层下面的混凝土垫层内敷设人工环形基础接地体。
3 敷设在混凝土中作为防雷装置的钢筋或圆钢,当仅为一根时,其直径不应小于10mm。被利用作为防雷装置的混凝土构件内有箍筋连接的钢筋时,其截面积总和不应小于一根直径10mm钢筋的截面积。
4 利用基础内钢筋网作为接地体时,在周围地面以下距地面不应小0.5m,每根引下线所连接的钢筋表面积总和应按下式计算:

式中:S——钢筋表面积总和(m2);
——分流系数,按本规范附录E的规定取值。
5 当在建筑物周边的无钢筋的闭合条形混凝土基础内敷设人工基础接地体时,接地体的规格尺寸应按表4.3.5的规定确定。
表4.3.5 第二类防雷建筑物环形人工基础接地体的最小规格尺寸

注:1 当长度相同、截面相同时,宜选用扁钢;
2 采用多根圆钢时,其敷设净距不小于直径的2倍;
3 利用闭合条形基础内的钢筋作接地体时可按本表校验,除主筋外,可计入箍筋的表面积。
6 构件内有箍筋连接的钢筋或成网状的钢筋,其箍筋与钢筋、钢筋与钢筋应采用土建施工的绑扎法、螺丝、对焊或搭焊连接。单根钢筋、圆钢或外引预埋连接板、线与构件内钢筋应焊接或采用螺栓紧固的卡夹器连接。构件之间必须连接成电气通路。
4.3.6 共用接地装置的接地电阻应按50Hz电气装置的接地电阻确定,不应大于按人身安全所确定的接地电阻值。在土壤电阻率小于或等于3000Ωm时,外部防雷装置的接地体符合下列规定之一以及环形接地体所包围面积的等效圆半径等于或大于所规定的值时,可不计及冲击接地电阻;但当每根专设引下线的冲击接地电阻不大于10Ω时,可不按本条第1、2款敷设接地体:
1 当土壤电阻率
小于或等于800Ωm时,对环形接地体所包围面积的等效圆半径小于5m的情况,每一引下线处应补加水平接地体或垂直接地体。当补加水平接地体时,其最小长度应按本规范式(4.2.4-1)计算;当补加垂直接地体时,其最小长度应按本规范式(4.2.4-2)计算。
2 当土壤电阻率大于800Ωm、小于或等于3000Ωm,且对环形接地体所包围的面积的等效圆半径小于按下式的计算值时,每一引下线处应补加水平接地体或垂直接地体:

3 本条第2款补加水平接地体时,其最小总长度应按下式计算:

4 本条第2款补加垂直接地体时,其最小总长度应按下式计算:

5 在符合本规范第4.3.5条规定的条件下,利用槽形、板形或条形基础的钢筋作为接地体或在基础下面混凝土垫层内敷设人工环形基础接地体,当槽形、板形基础钢筋网在水平面的投影面积或成环的条形基础钢筋或人工环形基础接地体所包围的面积符合下列规定时,可不补加接地体:
1)当土壤电阻率小于或等于800Ωm时,所包围的面积应大于或等于79m2。
2)当土壤电阻率大于800Ωm且小于或等于3000Ωm时,所包围的面积应大于或等于按下式计算的值:

6 在符合本规范第4.3.5条规定的条件下,对6m柱距或大多数柱距为6m的单层工业建筑物,当利用柱子基础的钢筋作为外部防雷装置的接地体并同时符合下列规定时,可不另加接地体:
1)利用全部或绝大多数柱子基础的钢筋作为接地体。
2)柱子基础的钢筋网通过钢柱,钢屋架,钢筋混凝土柱子、屋架、屋面板、吊车梁等构件的钢筋或防雷装置互相连成整体。
3)在周围地面以下距地面不小于0.5m,每一柱子基础内所连接的钢筋表面积总和大于或等于0.82m2。
4.3.7 本规范第3.0.3条第5~7款所规定的建筑物,其防闪电感应的措施应符合下列规定:
1 建筑物内的设备、管道、构架等主要金属物,应就近接到防雷装置或共用接地装置上。
2 除本规范第3.0.3条第7款所规定的建筑物外,平行敷设的管道、构架和电缆金属外皮等长金属物应符合本规范第4.2.2条第2款的规定,但长金属物连接处可不跨接。
3 建筑物内防闪电感应的接地干线与接地装置的连接,不应少于2处。
4.3.8 防止雷电流流经引下线和接地装置时产生的高电位对附近金属物或电气和电子系统线路的反击,应符合下列规定:
1 在金属框架的建筑物中,或在钢筋连接在一起、电气贯通的钢筋混凝土框架的建筑物中,金属物或线路与引下线之间的间隔距离可无要求;在其他情况下,金属物或线路与引下线之间的间隔距离应按下式计算:

式中:Sa3——空气中的间隔距离(m);
——引下线计算点到连接点的长度(m),连接点即金属物或电气和电子系统线路与防雷装置之间直接或通过电涌保护器相连之点。
2 当金属物或线路与引下线之间有自然或人工接地的钢筋混凝土构件、金属板、金属网等静电屏蔽物隔开时,金属物或线路与引下线之间的间隔距离可无要求。
3 当金属物或线路与引下线之间有混凝土墙、砖墙隔开时,其击穿强度应为空气击穿强度的1/2。当间隔距离不能满足本条第1款的规定时,金属物应与引下线直接相连,带电线路应通过电涌保护器与引下线相连。
4 在电气接地装置与防雷接地装置共用或相连的情况下,应在低压电源线路引入的总配电箱、配电柜处装设Ⅰ级试验的电涌保护器。电涌保护器的电压保护水平值应小于或等于2.5kV。每一保护模式的冲击电流值,当无法确定时应取等于或大于12.5kA。
5 当Yyn0型或Dyn11型接线的配电变压器设在本建筑物内或附设于外墙处时,应在变压器高压侧装设避雷器;在低压侧的配电屏上,当有线路引出本建筑物至其他有独自敷设接地装置的配电装置时,应在母线上装设Ⅰ级试验的电涌保护器,电涌保护器每一保护模式的冲击电流值,当无法确定时冲击电流应取等于或大于12.5kA;当无线路引出本建筑物时,应在母线上装设Ⅱ级试验的电涌保护器,电涌保护器每一保护模式的标称放电电流值应等于或大于5kA。电涌保护器的电压保护水平值应小于或等于2.5kV。
6 低压电源线路引入的总配电箱、配电柜处装设Ⅰ级试验的电涌保护器,以及配电变压器设在本建筑物内或附设于外墙处,并在低压侧配电屏的母线上装设Ⅰ级试验的电涌保护器时,电涌保护器每一保护模式的冲击电流值,当电源线路无屏蔽层时可按本规范式(4.2.4-6)计算,当有屏蔽层时可按本规范式(4.2.4-7)计算,式中的雷电流应取等于150kA。
7 在电子系统的室外线路采用金属线时,其引入的终端箱处应安装D1类高能量试验类型的电涌保护器,其短路电流当无屏蔽层时可按本规范式(4.2.4-6)计算,当有屏蔽层时可按本规范式(4.2.4-7)计算,式中的雷电流应取等于150kA;当无法确定时应选用1.5kA。
8 在电子系统的室外线路采用光缆时,其引入的终端箱处的电气线路侧,当无金属线路引出本建筑物至其他有自己接地装置设备时可安装B2类慢上升率试验类型的电涌保护器,其短路电流宜选用75A。
9 输送火灾爆炸危险物质和具有阴极保护的埋地金属管道,当其从室外进入户内处设有绝缘段时应符合本规范第4.2.4条第13款和第14款的规定,在按本规范式(4.2.4-6)计算时,式中的雷电流应取等于150kA。
4.3.9 高度超过45m的建筑物,除屋顶的外部防雷装置应符合本规范第4.3.1条的规定外,尚应符合下列规定:
1 对水平突出外墙的物体,当滚球半径45m球体从屋顶周边接闪带外向地面垂直下降接触到突出外墙的物体时,应采取相应的防雷措施。
2 高于60m的建筑物,其上部占高度20%并超过60m的部位应防侧击,防侧击应符合下列规定:
1)在建筑物上部占高度20%并超过60m的部位,各表面上的尖物、墙角、边缘、设备以及显著突出的物体,应按屋顶上的保护措施处理。
2)在建筑物上部占高度20%并超过60m的部位,布置接闪器应符合对本类防雷建筑物的要求,接闪器应重点布置在墙角、边缘和显著突出的物体上。
3)外部金属物,当其最小尺寸符合本规范第5.2.7条第2款的规定时,可利用其作为接闪器,还可利用布置在建筑物垂直边缘处的外部引下线作为接闪器。
4)符合本规范第4.3.5条规定的钢筋混凝土内钢筋和符合本规范第5.3.5条规定的建筑物金属框架,当作为引下线或与引下线连接时,均可利用其作为接闪器。
3 外墙内、外竖直敷设的金属管道及金属物的顶端和底端,应与防雷装置等电位连接。
4.3.10 有爆炸危险的露天钢质封闭气罐,当其高度小于或等于60m、罐顶壁厚不小于4mm时,或当其高度大于60m、罐顶壁厚和侧壁壁厚均不小于4mm时,可不装设接闪器,但应接地,且接地点不应少于2处,两接地点间距离不宜大于30m,每处接地点的冲击接地电阻不应大于30Ω 。当防雷的接地装置符合本规范第4.3.6条的规定时,可不计及其接地电阻值,但本规范第4.3.6条所规定的10Ω可改为30Ω。放散管和呼吸阀的保护应符合本规范第4.3.2条的规定。
条文说明
4.3 第二类防雷建筑物的防雷措施
4.3.1 接闪器、引下线直接装设在建筑物上,在非金属屋面上装设网格不大于10m的金属网,数十年的运行经验证明是可靠的。
中国科学院电工研究所曾对几十个模型做了几万次放电试验,虽然试验的重点放在非爆炸危险建筑物上,而且保护的重点是易受雷击的部位,但对整个建筑物起到了保护作用。如果把接闪带改为接闪网,则保护效果更有提高。根据我国的运行经验,对第二类防雷建筑物采用不大于10m的网格是适宜的。 IEC 62305—3:2010中相当于本规范第二类防雷建筑物的接闪器,当采用网格时,其尺寸也是不大于10m×10m,另见本规范第5.2.12条的条文说明。与10m×10m并列,增加12m×8m网格,这与引下线类同,是按6m柱距的倍数考虑的。
为了提高可靠性和安全度,便于雷电流的流散以及减小流经引下线的雷电流,故多根接闪杆要用接闪带连接起来。
4.3.2 本条说明如下:
1 虽然对排放有爆炸危险的气体、蒸气或粉尘的管道要求同本章第4.2.1条第2款,但由于第一类和第二类防雷建筑物的接闪器的保护范围是不同的(因hr不同,见本规范表5.2.12),因此,实际上保护措施的做法是不同的。
2 阻火器能阻止火焰传播,因此,在第二类防雷建筑物的防雷措施中补充了这一规定。以前的调查中发现雷击煤气放散管起火8次,均未发生事故。这些事例说明煤气、天然气放散管里的煤气、天然气在放气时总是处于正压,如煤气、天然气灶一样,火焰在管口燃烧而不会发生事故,故本规范特作此规定。
4.3.3 关于专设引下线的间距见本章第4.2.4条第2款的条文说明。根据实践经验和实际需要补充增加了“当建筑物的跨度较大,无法在跨距中间设引下线时,应在跨距两端设引下线并减小其他引下线的间距,专设引下线的平均间距不应大于18m。”“专设”指专门敷设,区别于利用建筑物的金属体。本条为强制性条文。
4.3.4 见本章第4.2.4条的有关说明。
4.3.5 利用钢筋混凝土柱和基础内钢筋作引下线和接地体,国内外在20世纪60年代初期就已经采用了,现已较为普遍。利用屋顶钢筋作为接闪器,国内外从20世纪70年代初就逐渐被采用了。
1 关于利用建筑物钢筋体作防雷装置,IEC 62305—3:2010中的规定如下:在其第21页第5.2.5条b款的规定中,对宜考虑利用建筑物的自然金属物作为自然接闪器是“覆盖有非金属材料屋面的屋顶结构的金属构件(桁架、构架、互相连接的钢筋,等等)若覆盖屋面的该非金属材料可以不需要受到保护时”;在其第24页第5.3.5条b款的规定中,对宜考虑利用建筑物的自然金属物作为自然引下线是“建筑物的电气贯通的钢筋混凝土框架的金属体”;在其第27页第5.4.4条自然接地体的规定中规定“混凝土基础内互相连接的钢筋,当其满足5.6条(译注:即对其材料和尺寸的要求,见本规范第5章)的要求时或其他合适的地下金属结构,应优先考虑利用其作为接地体”。
国际上许多国家的防雷规范、标准也作了雷同的规定。钢筋混凝土建筑物的钢筋体偶尔采用焊接连接,此时提供了肯定的电气贯通。然而更多的是,在交叉点采用金属绑线绑扎在一起,但是不管金属性连接的偶然性,这样一类建筑物具有许许多多钢筋和连接点,它们保证将全部雷电流经过许多次再分流流入大量的并联放电路径。经验表明,这样一类建筑物的钢筋体能容易地被利用作为防雷装置的一部分或全部。下面介绍钢筋绑扎点通冲击电流能力的试验和英国的防雷标准:
1)原苏联对钢筋绑扎点流过冲击和工频电流的试验(刊登于原苏联杂志《电站》1990年第9期文章:钢筋混凝土电杆通雷电流和短路电流的试验,即 

试样是方柱形混凝土,边长为50mm、100mm和150mm三种(见图8)。
在其轴心埋设两根直径8mm的钢筋,将其末端弯起来并用绑线绑扎。
对这种连接点用幅值5kA、10kA、20kA波长40μs的冲击电流波和3kA的工频电流进行试验。从试验所得的电压和电流示波图可证明,这种连接点的电气接触是足够可靠的,其过渡电阻为0.001Ω~0.01Ω。这一结果表明,当雷电流和工频短路电流通过有铁丝绑扎的并联钢筋时,所有纵向主筋都参与导引电流。

图8 大冲击电流和工频短路电流流过钢筋绑扎点的试样

试样示于图9,纵、横钢筋的接触处有的试样采用焊接,有的采用铁线绑扎。具有代表性的冲击电流波形示于图10。钢筋代号见图11。

图9 试样的构造和尺寸

图10 具有代表性的冲击电流波形

图11 试样的钢筋代号
钢筋接触处的连接方法对钢筋混凝土的破坏影响的
试验结果如下(0表示无异常现象,×表示受到破坏);
1号试样(纵横钢筋接触处采用焊接):
6—E,61kA 0 0 0
4—E,61kA 0 0 0
2—E,61kA 0 0 0
2号试样(纵横钢筋接触处采用铁线绑扎):
1—E,16kA 0 0 0
2—E,31kA 0 0 0
3—E,48kA ×(有轻度裂缝)
3号试样(纵横钢筋接触处采用铁线绑扎):
3—E,48kA 0 0 0 0 0
4—E,48kA 0 0 0 0
4—E,61kA 0
5—E,61kA ×(有轻度裂缝)
4号试样(纵横钢筋接触处采用铁线绑扎):
1—E,48kA 0 0 0
3—E,61kA ×(裂缝,有两块小碎片飞出1m远)
5号试样(纵横钢筋接触处采用铁线绑扎):
1—E,61kA 0
2—E,61kA 0
3—E,61kA 0
以上试样中,有一个试样的一个绑扎点通过48kA和两个试样的各一个绑扎点通过61kA后,采用铁线绑扎连接的这三个钢筋混凝土试样才遭受轻度裂缝的破坏。这说明一个绑扎点可以安全地流过几十千安的冲击电流。实际上采用的钢筋混凝土构件除进出电流的第一个连接点外,通常都有许多并联绑扎点,因此,若把进出构件的第一个连接点处理好的话(本规范要求应焊接或采用螺栓紧固的卡夹器连接),那么可通过的冲击电流将会是很大的了。
以上所采用的试验冲击电流波虽然不是现在规定的10/350μs直击雷电流波形,但若简单近似地采用20倍的换算,则每一个绑扎点也可安全地通过10/350μs的冲击电流波。
3)英国《建筑物防雷实用规范》(BS 6651—1999:Code of practice for protection of structures against lightning),第16.6节规定如下:
“16.6 混凝土建筑物中钢筋的利用:
16.6.1 通则——在建筑物开始建设之前,在设计阶段应决定详细做法;
16.6.2 电气连贯性——在现场浇灌的钢筋混凝土建筑物的钢筋偶尔是焊接在一起,这提供了肯定的电气连贯性。通常更多地是,钢筋在交叉点是用金属线绑扎在一起。
然而,虽然在此产生的自然金属性连接有其偶然性,但是这类结构的大量钢筋和交叉点保证全部雷电流实质上在并联放电路径上的多次分流。经验表明,这类建筑物能够容易地被利用作为防雷装置的一部分。
然而,建议采取以下的预防措施:a)应保证钢筋之间有良好的接触,即用绑线固定钢筋;b)垂直方向的钢筋与钢筋之间和水平钢筋与垂直钢筋之间都应绑扎。”
利用屋顶钢筋作接闪器,其前提是允许屋顶遭雷击时混凝土会有一些碎片脱离以及一小块防水、保温层遭破坏。但这对建筑物的结构无损害,发现时加以修补就可以了。屋顶的防水层本来正常使用一段时期后也要修补或翻修。
另一方面,即使安装了专设接闪器,还是存在一个绕击问题,即比所规定的雷电流小的电流仍有可能穿越专设接闪器而绕击于屋顶的可能性。
利用建筑物的金属体做防雷装置的其他优点和做法请参见《基础接地体及其应用》一书(林维勇著,1980年,中国建筑工业出版社出版)和国家建筑标准设计图集《利用建筑物金属体做防雷及接地装置安装》03D501-3。
2 钢筋混凝土的导电性能,在其干燥时,是不良导体,电阻率较大,但当具有一定湿度时,就成了较好的导电物质,可达100Ωm~200Ωm。潮湿的混凝土导电性能较好,是因为混凝土中的硅酸盐与水形成导电性的盐基性溶液。混凝土在施工过程中加入了较多的水分,成形后在结构中密布着很多大大小小的毛细孔洞,因此就有了一些水分储存。当埋入地下后,地下的潮气又可通过毛细管作用吸入混凝土中,保持一定的湿度。
图12示出,在混凝土的真实湿度的范围内(从水饱和到干涸),其电阻率的变化约为520倍。在重复饱和和干涸的整个过程中,没有观察到各点的位移,也即每一湿度有一相应的电阻率。建筑物的基础,通常采用(150~200)号(等同于现在标准的C13~C18)混凝土。原苏联1980年有人提出一个用于200号(等同于现在标准的C18)混凝土的近似计算式,计算混凝土的电阻率
(Ωm)与其湿度关系,其关系式如下:

式中:W——混凝土的湿度(%)。

图12 混凝土湿度对其电阻率的影响
例如,当W=6%时,
=28000/62.6=265(Ωm);
W=7.5%时,
=28000/7.52.6=149(Ωm)。
根据我国的具体情况,土壤一般可保持有20%左右的湿度,即使在最不利的情况下,也有5%~6%的湿度。
在利用基础内钢筋作接地体时,有人不管周围环境条件如何,甚至位于岩石上也利用,这是错误的。因此,补充了“周围土壤的含水量不低于4%”。混凝土的含水量约在3.5%及以上时,其电阻率就趋于稳定;当小于3.5%时,电阻率随水分的减小而增大。根据图12,含水量定为不低于4%。该含水量应是当地历史上一年中最早发生雷闪时间以前的含水量,不是夏季的含水量。
混凝土的电阻率还与其温度成一定关系的反向作用,即温度升高,电阻率减小;温度降低,电阻率增大。
下面举几个例子说明我国20世纪60年代利用钢筋混凝土构件中钢筋作为接地装置的情况。
1)北京某学院与某公司工程的设计,采用钢筋混凝土构件中的钢筋作为防雷引下线与接地体,并进行了测定,8000m2的建筑,其接地电阻夏季为0.2Ω~0.4Ω,,冬季为0.4Ω~0.6Ω,且数年中基本稳定。
2)上海某广场全部采用了柱子钢筋作为防雷引下线,利用钢筋混凝土基桩作为接地极(基桩深达35m),测定后,接地电阻为0.2Ω/基~1.8Ω/基。
3)上海某大学利用钢筋混凝土基桩作为防雷接地装置,并测得接地电阻为0.28Ω~4Ω(桩深为26m)。
4)云南某机床厂的约2000m2车间,采用钢筋混凝土构件中的钢筋作接地装置,接地电阻为0.7Ω。
5)1963年7月曾对原北京第二通用机器厂进行了测定,数值如下:立式沉淀池基础(捣制)4.5Ω~5.5Ω;四根高烟囱基础(捣制)3Ω/每根~5Ω/每根;露天行车的一根钢筋混凝土柱子(预制)2Ω;同一露天行车的另一根钢筋混凝土柱子(预制)7Ω;铸钢车间的一根钢筋混凝土柱子(预制)0.5Ω。
以前对基础的外表面涂有沥青质的防腐层时,认为该防腐层是绝缘的,不可利用基础内钢筋作接地体。但是实践证实并不是这样,国内外都有人做过测试和分析,认为是可利用作为接地体的。原苏联有若干篇文献论及此问题,国内已有人将其编译为一篇文章,刊登于《建筑电气》1984年第4期,文章名称为《利用防侵蚀钢筋混凝土基础作为接地体的可能性》。在其结论中指出:“厚度3mm的沥青涂层,对接地电阻无明显的影响,因此,在计算钢筋混凝土基础接地电阻时,均可不考虑涂层的影响。厚度为6mm的沥青涂层或3mm的乳化沥青涂层或4mm的粘贴沥青卷材时,仅当周围的土壤的等值电阻率≤100Ωm和基础面积的平均边长S≤100m时,其基础网电阻约增加33%,在其他情况下这些涂裱层的影响很小,可忽略不计”。结论中还有其他的情况,不在这里一一介绍,请参见原译文。上述译文还指出,原苏联建筑标准对钢筋混凝土结构防止杂散电流引起腐蚀的规定中,给出防水层的两种状态:“最好的”(无保护部分的面积不大于1%)和“满足要求的”(无保护部分的面积为5%~10%)。原全苏电气安装工程科学研究所对所测过的、具有防止弱侵蚀介质作用的沥青涂层和防止中等侵蚀介质作用的粘贴沥青卷材的单个基础、桩基、桩群以及基础底板的散流电阻进行了定量分析,说明在许多被测过的基础中,没有一个基础是处于“最好的”绝缘状态。据此,可以作出这样的假设:在强侵蚀介质中,防护层的防水状态也不是“最好的”。上述结论就是在这一前提下作出的。
原东德标准TGL33373/01~03-1981(Bautechnische,
接地、等电位和防雷在建筑技术上的措施)对基础接地体的说明是:“埋设在直接与土地接触或通过含沥青质的外部密封层与土地平面接触的基础内在电气上非绝缘的钢筋、钢埋入件和金属结构”。
原苏联1987年版的《建构筑物防雷导则》(
)中也指出,钢筋混凝土基础的沥青涂层和乳化沥青涂层不妨碍利用它作为防雷接地体。
因此,本款规定钢筋混凝土基础的外表面无防腐层或有沥青质防腐层时,宜利用基础内的钢筋作为接地装置。
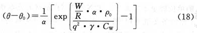
3 规定混凝土中防雷导体的单根钢筋或圆钢的最小直径不应小于10mm是根据以下的计算定出的。
现行国家标准《混凝土结构设计规范》GB 50010—2002规定构件的最高允许表面温度是:对于需要验算疲劳的构件(如吊车梁等承受重复荷载的构件)不宜超过60℃;对于屋架、托架、屋面梁等不宜超过80℃;对于其他构(如柱子、基础)则没有规定最高允许温度值,对于此类构件可按不宜超过100℃考虑。
由于建筑物遭雷击时,雷电流流经的路径为屋面、屋架(或托架或屋面梁)、柱子、基础,则流经需要验算疲劳的构件(如吊车梁等承受重复荷载的构件)的雷电流已分流到很小的数值。因此,雷电流流过构件内钢筋或圆钢后,其最高温度按80℃~100℃考虑。现取最终温度80℃作为计算值。钢筋的起始温度取40℃,因此,钢导体的温度升高考虑为40℃,这是一个很安全的数值。
根据IEC 62305—1: 2010第51、52页的式(D.7)及其他有关资料,计算如下:

式中:(θ-θo)——导体的温度升高(K);
——电阻的温度系数(1/K),对软钢,其值为6.5×10-31/K;
W/R——冲击电流的单位能量(J/Ω),根据本规范表F.0.1-1取第二类防雷建筑物的值为5.6×106J/Ω;
——导体在环境温度下的电阻率(Ωm) ,对钢导体,取其值为138×10-9Ωm;
q——导体的截面积(m²),取
10mm钢导体的截面积,其值为78.5×10-6m²;
——物质的密度 ( kg/m³),对软钢,其值为7700kg/m³;
Cw——热容量[J/(kg·K)],对软钢,其值为469J/(kg·K)。
将上述数值代入式(18),得(θ-θo)=38.96K,小于40K。
对于第三类防雷建筑物,除W/R值不同外,其他值是相同的。根据本规范表F.0.1-1,取第三类防雷建筑物的W/R值为2.5×106J/Ω。将上述数值代入式(18),得(θ-θo)=16.31K,小于40K。
以上是对一根
10mm钢导体的温度升高计算,实际上,钢筋混凝土构件内通常都有许多钢筋并联,经过分流后,每根钢筋产生的W/R值大大减小,因此,钢筋的温度升高会大大小于40K。
4 埋设在土壤中的混凝土基础的起始温度取30℃(我国地下0.8m处最热月土壤平均温度,除少数地区略超过30℃外,其余均在30℃以下);最终温度取99℃,以不发生水的沸腾为前提。在此基础上求出的钢筋与混凝土接触的每一平方米表面积允许产生的单位能量不应大于1.32×106J/(Ωm2)(另见本章第4.3.6条第4款的条文说明)。因此,对于第二类防雷建筑物,钢筋表面积总和不应少于
;对于第三类防雷建筑物,钢筋表面积总和不应少于
。
5 确定环形人工基础接地体尺寸的几条原则:
1)在相同截面(即在同一长度下,所消耗的钢材质量相同)下,扁钢的表面积总是大于圆钢的,所以,建议优先选用扁钢,可节省钢材。
2)在截面积相等之下,多根圆钢的表面积总是大于一根的,所以在满足所要求的表面积前提下,选用多根或一根圆钢。
3)圆钢直径选用8mm、10mm、12mm三种规格,选用大于
12mm的圆钢,一是浪费材料,二是施工时不易于弯曲。
4)混凝土电阻率取100Ωm,这样,混凝土内钢筋体有效长度为
=20m,即从引下线连接点开始,散流作用按各方向20m考虑。
5)周长≥60m,按60m考虑,设三根引下线,此时,kc=0.44,另外还有56%的雷电流从另两根引下线流走,每根引下线各占28%。
设这28%从两个方向流走,每一方向流走14%。因此,与第一根引下线连接的40m长接地体(一个方向20m,两个方向共计40m),共计流走总电流的72%(0.44+0.14+0.14=0.72),即本条第4款所规定的4.24kc2和本章第4.4.5条第1款所规定的1.89kc2中的kc等于0.72。
6)40m~60m周长时按40m长考虑,kc等于1,即按40m长流走全部雷电流考虑。
7)<40m周长时无法预先定出规格和尺寸,只能按是kc等于1由设计者根据具体长度计算,并按以上原则选用。
根据以上原则所计算的结果列于表8。
表8 确定环形人工基础接地体的计算结果

注:采用一根圆钢时,其直径不应小于10mm。
整栋建筑物的槽形、板形、块形基础的钢筋表面积总是能满足钢筋表面积的要求。
6 混凝土内的钢筋借绑扎作为电气连接,当雷电流通过时,在连接处是否可能由此而发生混凝土的爆炸性炸裂,为了澄清这一问题,瑞士高压问题研究委员会进行过研究,认为钢筋之间的普通金属绑丝连接对防雷保护来说是完全足够的,而且确证,在任何情况下,在这样连接附近的混凝土决不会碎裂,甚至出现雷电流本身把绑在一起的钢筋焊接起来,如点焊一样,通过电流以后,一个这样的连接点的电阻下降为几个毫欧的数值。
本条第6款为强制性条款。
4.3.6 关于共用接地装置的接地电阻,见本章第4.2.4条第6款的条文说明。
1~4 根据IEC 62305—3: 2010第26页5.4.2.2的规定(接地体的B型布置)而制定。另见本章第4.2.4条第6款的条文说明。
环形接地体(或基础接地体)所包围的面积A的平均几何半径r为:πr2=A,所以r=
。根据图2,对于第二类防雷建筑物,当
<800Ωm时,
1为5m,因此,导出第1款的规定;当
=800Ωm~3000Ωm时,
1与
的关系是一根斜线,从该斜线上找出方便的任意两点的坐标,则可求出
1与
的关系式为
1=
,所以,导出第2~4款的规定。
5
,故作出本款第1项的规定。
,故作出本款第2项的规定。
6 本款系根据实际需要和实践经验而定的。第1项保证地面电位分布均匀。第2项保证雷电流较均匀地分配到雷击点附近作为引下线的金属导体和各接地体上。第3项保证混凝土基础的安全性。
第1项中“绝大多数柱子基础”是指在一些情况下少数柱子基础难于连通的情况,如车间两端在钢筋混凝土端屋架中间(不是屋架的两头)的柱子基础,即挡风柱基础。
地中混凝土的起始温度取30℃,最高允许温度取99℃。混凝土的含水量按混凝土重量的5%计算。边长1m的基础混凝土立方体的热容量Q1(J/m3 ) 为:

式中:C1——混凝土的比热容[J/(kg·K)],取8.82×102J/(kg·K);
C2——水的比热容[J/(kg·K)],取4.19×103J/(kg·K);
M1——边长1m的混凝土立方体的质量(kg/m³),取2.1×103kg/m³;
——温度差,对于起始温度为30℃和最终温度为99℃的场合,
=69℃。
将以上有关数值代入式(19),得Q1=1.58×108J/m³。
雷电流从钢筋表面(设钢筋与混凝土的接触表面积为1m²)流入混凝土(混凝土折合成边长1m的立方体)时所产生的热量按式(20)计算。
式中:
——混凝土在30℃~99℃时的平均电阻率,取120Ωm。
使Q2=Q1,得
,所以

上式的计量单位为MJ/(Ωm²),说明雷电流从1m²钢筋表面积流入混凝土所产生的单位能量应不大于1.32MJ/Ω。
从本规范表F.0.1-1,得第二、三类防雷建筑物的单位能量
分别为5.6MJ/Ω和2.5MJ/Ω。
由于单位能量与雷电流的平方成正比,亦即与分流系数平方成正比。根据本规范图E.0.1的(c),取kc=0.44,因此,分流后流经一根柱子的雷电流所产生的单位能量分别为5.6×0.442=1.084(MJ/Ω)和2.5×0.442=0.484(MJ/Ω)。
将这两个数值除以
,则相应所需的基础钢筋表面积分别为1.084/1.32=0.82(m²)和0.484/1.32=0.37(m²)。
关于基础钢筋表面积的计算,现举一个实际设计例子。图13为车间一根柱子基础的结构设计。

图13 一车间的柱子基础结构图
10钢筋周长为0.01πm2,每根长2m,每根的表面积为0.02πm2,共计2000/200=10根,故10钢筋的总表面积为0.2πm2。
12钢筋周长为0.012πm,每根长3.2m,每根的表面积为3.2×0.012π=0.0384πm2,共计3200/200=16根,故
12钢筋的总表面积为16×0.0384r=0.6144πm2。
因此,基础钢筋的总表面积为上述两项之和,即0.2π+0.6144π=0.8144π=2.56(m2)。
4.3.7 建筑物内的主要金属物不包括混凝土构件内的钢筋。
2 本款加“除本规范第3.0.3条第7款所规定的建筑物外”是根据以下两个理由:
1)在这类场合下,设计中采用在桥架上敷设许多长的外面有绝缘保护层的铠装电缆,施工人员反映,施工时要将铠装互相连接必须破坏绝缘保护层,施工很困难。
2)IEC 62305——3:2010第52页的D.5.2(Structures containing zones 2 and 22)有如下的规定,对那些规定为2区和22区的建筑物可不要求增加补充的保护措施(Structures where areas difined as zones 2 and 22 exist may not require supplemental protection measures)。
4.3.8 本条说明如下:
1 根据IEC 62305—3:2010第35页6.3规定中的式(4):
,按该规定的表10,ki=0.06,按该规定的表11,km=1,分流系数kc见本规范附录E。将相关数值代入上式,则得本规范式(4.3.8)。
“在金属框架的建筑物中,或在钢筋连接在一起、电气贯通的钢筋混凝土框架的建筑物中,金属物或线路与引下线之间的间隔距离可无要求”,这一规定是根据IEC 62305—3:2010 6.3中第36页的规定增加的,即"In structures with metallic or electrically continuous connected reinforced concrete framework,a separation distance is not required"。
3 “当金属物或线路与引下线之间有混凝土墙、砖墙隔开时,其击穿强度应为空气击穿强度的1/2”是根据IEC 62305—3:2010第35页表11的规定制定的。
4 本款为强制性条款。“低压电源线路引入的总配电箱、配电柜处装设Ⅰ级试验的电涌保护器”见本章第4.2.4条第8款的说明。
5 本款是强制性条款。在“当Yyn0型或Dyn11型接线的配电变压器设在本建筑物内或附设于外墙处”的情况下,当该建筑物的防雷装置遭雷击时,接地装置的电位升高,变压器外壳的电位也升高。由于变压器高压侧各相绕组是相连的,对外壳的雷击高电位来说,可看作处于同一低电位,外壳的雷击高电位可能击穿高压绕组的绝缘,因此,应在高压侧装设避雷器。当避雷器反击穿时,高压绕组则处于与外壳相近的电位,高压绕组得到保护。另一方面,由于变压器低压侧绕组的中心点通常与外壳在电气上是直接连在一起的,当外壳电位升高时,该电位加到低压绕组上,低压绕组有电流流过,并通过变压器高、低压绕组的电磁感应使高压绕组匝间可能产生危险的电位差。若在低压侧装设SPD,当外壳出现危险的高电位时,SPD动作放电,大部分雷电流流经与低压绕组并联的SPD,因此,保护了高压绕组。
“当无线路引出本建筑物时,应在母线上装设Ⅱ级试验的电涌保护器,电涌保护器每一保护模式的标称放电电流值应等于或大于5kA”的规定是因为此时低压线路的地电位(PE导体、共用接地系统)与SPD的接地端是处于同一电位(在同一平面上)或高于SPD接地端的电位(在建筑物的高处),流经SPD的电流和能量不会是大的,即不会有大的雷电流再从SPD的接地端流经SPD,又从低压线路的分布电容流回SPD接地端的接地装置。但此时SPD动作后将保护低压装置的绝缘免遭击穿破坏。
4.3.9 本条是根据IEC 62305—3:2010修改的,其第19页“5.2.3 高层建筑物防侧击的接闪器”的规定如下:
5.2.3.1 高度低于60m的建筑物
研究显示,小雷击电流击到高度低于60m建筑物的垂直侧面的概率是足够低的,所以不需要考虑这种侧击。屋顶和水平突出物应按IEC 62305—-2风险计算确定的防雷装置(LPS)级别加以保护。
5.2.3.2 高60m及高于60m的建筑物
高于60m的建筑物,闪击击到其侧面是可能发生的,特别是各表面的突出尖物、墙角和边缘。
注:通常,这种侧击的风险是低的,因为它只占高层建筑物遭闪击数的百分之几,而且其雷电流参数显著低于闪电击到屋顶的雷电流参数。然而,装在建筑物外墙上的电气和电子设备,甚至被低峰值雷电流侧击击中,也可能损坏。
高层建筑物的上面部位(例如,通常是建筑物高度的最上面20%部位,这部位要在建筑物60m高以上)及安装在其上的设备应装接闪器加以保护(见附录A)。
在高层建筑物的这个上端部位布置接闪器的规则,应至少符合第Ⅳ级防雷级别的要求,并重点布置在墙角、边缘和显著的突出物(如阳台、观景平台,等等)处。
在高层建筑物的侧面有外部的金属物(如满足表3最小尺寸要求的金属覆盖物、金属幕墙)时可以满足安装接闪器的要求。当无自然的外部导体时也可以包括采用布置在建筑物垂直边缘的外部引下线。
可利用所安装的引下线或利用适当互相连接的自然引下线(如符合本规范第5.3.5条要求的建筑物的钢框架或在电气上贯通的钢筋混凝土钢筋)来满足上述要求所要安装的或特别要求的接闪器。”
对第二类防雷建筑物,由于滚球半径hr规定为45m(见本规范表5.2.12),所以本条规定“高度超过45m的建筑物”。
竖直敷设的金属管道及金属物的顶端和底端与防雷装置等电位连接。由于两端连接,使其与引下线成了并联路线,必然参与导引一部分雷电流,并使它们之间在各平面处的电位相等。对本条规定的一些做法参见图14。

图14 剖面示意
图14中,与所规定的滚球半径相适应的一球体从空中沿接闪器A外侧下降,会接触到B处,该处应设相应的接闪器;但不会接触到C、D处,该处不需设接闪器。该球体又从空中沿接闪器B外侧下降,会接触到F处,该处应设相应的接闪器。若无F虚线部分,球体会接触到E处时,E处应设相应的接闪器;当球体最低点接触到地面,还不会接触到E处时,E处不需设接闪器。
4.3.10 “壁厚不小于4mm”的规定是根据IEC 62305—3:2010第21页表3的规定。
- 上一节:4.2 第一类防雷建筑物的防雷措施
- 下一节:4.4 第三类防雷建筑物的防雷措施