4.1 一般规定
4.1.1 电缆终端的装置类型的选择,应符合下列规定:
1 电缆与六氟化硫全封闭电器直接相连时,应采用封闭式GIS终端。
2 电缆与高压变压器直接相连时,应采用象鼻式终端。
3 电缆与电器相连且具有整体式插接功能时,应采用可分离式(插接式)终端。
4 除上述情况外,电缆与其他电器或导体相连时,应采用敞开式终端。
4.1.2 电缆终端构造类型的选择,应按满足工程所需可靠性、安装与维护简便和经济合理等因素综合确定,并应符合下列规定:
1 与充油电缆相连的终端,应耐受可能的最高工作油压。
2 与六氟化硫全封闭电器相连的GIS终端,其接口应相互配合;GIS终端应具有与SF6气体完全隔离的密封结构。
3 在易燃、易爆等不允许有火种场所的电缆终端,应选用无明火作业的构造类型。
4 220kV及以上XLPE电缆选用的终端型式,应通过该型终端与电缆连成整体的标准性资格试验考核。
5 在多雨且污秽或盐雾较重地区的电缆终端,宜具有硅橡胶或复合式套管。
6 66~110kV XLPE电缆户外终端宜选用全干式预制型。
4.1.3 电缆终端绝缘特性的选择,应符合下列规定:
1 终端的额定电压及其绝缘水平,不得低于所连接电缆额定电压及其要求的绝缘水平。
2 终端的外绝缘,必须符合安置处海拔高程、污秽环境条件所需爬电比距的要求。
4.1.4 电缆终端的机械强度,应满足安置处引线拉力、风力和地震力作用的要求。
4.1.5 电缆接头的装置类型的选择,应符合下列规定:
1 自容式充油电缆线路高差超过本规范第3.5.2条的规定,且需分隔油路时,应采用塞止接头。
2 电缆线路距离超过电缆制造长度,且除本条第3款情况外,应采用直通接头。
3 单芯电缆线路较长以交叉互联接地的隔断金属层连接部位,除可在金属层上实施有效隔断及其绝缘处理的方式外,其他应采用绝缘接头。
4 电缆线路分支接出的部位,除带分支主干电缆或在电缆网络中应设置有分支箱、环网柜等情况外,其他应采用T型接头。
5 三芯与单芯电缆直接相连的部位,应采用转换接头。
6 挤塑绝缘电缆与自容式充油电缆相连的部位,应采用过渡接头。
4.1.6 电缆接头的构造类型的选择,应按满足工程所需可靠性、安装与维护简便和经济合理等因素综合确定,并应符合下列规定:
1 海底等水下电缆的接头,应维持钢铠层纵向连续且有足够的机械强度,宜选用软性连接。
2 在可能有水浸泡的设置场所,6kV及以上XLPE电缆接头应具有外包防水层。
3 在不允许有火种场所的电缆接头,不得选用热缩型。
4 220kV及以上XLPE电缆选用的接头,应由该型接头与电缆连成整体的标准性试验确认。
5 66~110kV XLPE电缆线路可靠性要求较高时,不宜选用包带型接头。
4.1.7 电缆接头的绝缘特性应符合下列规定:
1 接头的额定电压及其绝缘水平,不得低于所连接电缆额定电压及其要求的绝缘水平。
2 绝缘接头的绝缘环两侧耐受电压,不得低于所连接电缆护层绝缘水平的2倍。
4.1.8 电缆终端、接头的布置,应满足安装维修所需的间距,并应符合电缆允许弯曲半径的伸缩节配置的要求,同时应符合下列规定:
1 终端支架构成方式,应利于电缆及其组件的安装;大于1500A的工作电流时,支架构造宜具有防止横向磁路闭合等附加发热措施。
2 邻近电气化交通线路等对电缆金属层有侵蚀影响的地段,接头设置方式宜便于监察维护。
4.1.9 电力电缆金属层必须直接接地。交流系统中三芯电缆的金属层,应在电缆线路两终端和接头等部位实施接地。
4.1.10 交流单芯电力电缆的金属层上任一点非直接接地处的正常感应电势计算,宜符合本规范附录F的规定。电缆线路的正常感应电势最大值应满足下列规定:
1 未采取能有效防止人员任意接触金属层的安全措施时,不得大于50V。
2 除上述情况外,不得大于300V。
4.1.11 交流系统单芯电力电缆金属层接地方式的选择,应符合下列规定:
1 线路不长,且能满足本规范第4.1.10条要求时,应采取在线路一端或中央部位单点直接接地(图4.1.11-1)。
2 线路较长,单点直接接地方式无法满足本规范第4.1.10条的要求时,水下电缆、35kV及以下电缆或输送容量较小的35kV及以上电缆,可采取在线路两端直接接地(图4.1.11-2)。
3 除上述情况外的长线路,宜划分适当的单元,且在每个单元内按3个长度尽可能均等区段,应设置绝缘接头或实施电缆金属层的绝缘分隔,以交叉互联接地,(图4.1.11-3)。



4.1.12 交流系统单芯电力电缆及其附件的外护层绝缘等部位,应设置过电压保护,并应符合下列规定:
1 35kV以上单芯电力电缆的外护层、电缆直连式GIS终端的绝缘筒,以及绝缘接头的金属层绝缘分隔部位,当其耐压水平低于可能的暂态过电压时,应添加保护措施,且宜符合下列规定:
1)单点直接接地的电缆线路,在其金属层电气通路的末端,应设置护层电压限制器。
2)交叉互联接地的电缆线路,每个绝缘接头应设置护层电压限制器。线路终端非直接接地时,该终端部位应设置护层电压限制器。
3)GIS终端的绝缘筒上,宜跨接护层电压限制器或电容器。
2 35kV单芯电力电缆金属层单点直接接地,且有增强护器绝缘保护需要时,可在线路未接地的终端设置护层电压限制器。
4.1.13 护层电压限制器参数的选择,应符合下列规定:
1 可能最大冲击电流作用下护层电压限制器的残压,不得大于电缆护层的冲击耐压被1.4所除数值。
2 系统短路时产生的最大工频感应过电压作用下,在可能长的切除故障时间内,护层电压限制器应能耐受。切除故障时间应按5s以内计算。
3 可能最大冲击电流累积作用20次后,护层电压限制器不得损坏。
4.1.14 护层电压限制器的配置连接,应符合下列规定:
1 护层电压限制器配置方式,应按暂态过电压抑制效果、满足工频感应过电压下参数匹配、便于监察维护等因素综合确定,并应符合下列规定:
1)交叉互联线路中绝缘接头处护层电压限制器的配置及其连接,可选取桥形非接地Δ、Yo或桥形接地等三相接线方式。
2)交叉互联线路未接地的电缆终端、单点直接接地的电缆线路,宜采取Yo接线方式配置护层电压限制器。
2 护层电压限制器连接回路,应符合下列规定:
1)连接线应尽量短,其截面应满足系统最大暂态电流通过时的热稳定要求。
2)连接回路的绝缘导线、隔离刀闸等装置的绝缘性能,不得低于电缆外护层绝缘水平。
3)护层电压限制器接地箱的材质及其防护等级应满足其使用环境的要求。
4.1.15 交流系统110kV及以上单芯电缆金属层单点直接接地时,下列任一情况下,应沿电缆邻近设置平行回流线。
1 系统短路时电缆金属层产生的工频感应电压,超过电缆护层绝缘耐受强度或护层电压限制器的工频耐压。
2 需抑制电缆邻近弱电线路的电气干扰强度。
4.1.16 回流线的选择与设置,应符合下列规定:
1 回流线的阻抗及其两端接地电阻,应达到抑制电缆金属层工频感应过电压,并应使其截面满足最大暂态电流作用下的热稳定要求。
2 回流线的排列配置方式,应保证电缆运行时在回流线上产生的损耗最小。
3 电缆线路任一终端设置在发电厂、变电所时,回流线应与电源中性线接地的接地网连通。
4.1.17 重要回路且可能有过热部位的高压电缆线路,宜设置温度检测装置。
4.1.18 重要交流单芯高压电缆金属层单点直接接地或交叉互联接地时,该电缆线路宜设置护层绝缘监察装置。
条文说明
4.1 一般规定
4.1.1 系原条文4.1.1修改条文。
4.1.2 系原条文4.1.2修改条文。电缆终端的构造类型,随电压等级、电缆绝缘类别、终端装置型式等有所差异。在同一电压级的特定绝缘电缆及其终端装置情况下,终端构造方式可能有多种类型。
66kV以上自容式充油电缆终端构造已基本定型且种类有限,然而XLPE电缆的终端构造类型较多,其户外式终端、GIS终端的构造类型及其在世界上主要应用概况,列于表l。XLPE电缆远晚于充油电缆运用实践,在逐步提升其应用电压等级的初期,常沿袭后者终端构造型式,其可靠性较易把握;然而在电缆使用增多后,具有注入油/SF6的非干式构造终端,往往感到安装或运行管理较麻烦,且有安装质量等因素出现漏油之类缺陷,促使趋向用干式构造;但干式终端实践历史尚不够长,荷兰150kV电缆系统曾在1993年l天中发生多个干式终端一连串故障,经分析判明是橡胶应力锥与XLPE电缆绝缘间界面问题所导致(详IEEE Electrical Insulation Magazine,Y0l.15,No.4,1999),荷兰于1997年向IEC提出关于界面绝缘评价的试验方法标准化提案,只因基础性研究不够充分尚未被采纳(详见日本《电气学会技术报告》第948号,2004.1),然而,至少可认为,干式终端所含不同绝缘材料间弹性压接的界面压力,长期使用将有自然减小,是否确实不影响绝缘击穿特性,依现行标准试验似还难以充分地评断。这对于电压等级越高其意义显然越需重视。
本条文既对各类型终端构造的使用特征归纳出合理选择原则,还基于某些电缆或终端的特点,以条款1、2、3分别示明必要的制约,又按《额定电压150kV(Um=170kV)以上至500kV(Um=550kV)挤出绝缘电力电缆及其附件——试验方法和要求》IEC 62067-2001标准,以条款4提示需具备满足该标准资格试验(国内常称预鉴定试验)为选用前提;另以条款5、6示出并非严格而留有选择余地的推荐内容,它们反映了大多数工程设计的做法或趋向。
表1 66kV及以上XLPE电缆户外式、GIS终端的构造类型及其应用概况

注:1 表中内容摘自2000年日本《电气学会技术报告》第767号“关于海外输电电缆的技术动向”。
2 我国的工程实践中序号2、3、6、7、9、10、11、12都有不同程度的应用。
4.1.3 系原条文4.1.3修改条文。一般套管外绝缘的爬电比距要求,在《高压架空线路和发电厂、变电所环境污区分级及外绝缘选择标准》GB/T 16434中有选择方法的规定,电缆终端的套管不应低于其要求。GB/T 16434标准附录B提示影响外绝缘发生污闪的因素,往往随时间推移会出现难以预料的变化,工程设计应给今后运行管理留有适当安全裕度。近年,有论述对东北、华北和河南电网大面积污闪事故分析,除证实必须满足爬电比距标准要求外,还强调500kV级变电设备的爬电比距应高于所在污秽地区的规定值(可参见《电力设备》,Vol,No.4,2001)。
电缆终端与一般支持绝缘子在出现闪络击穿事故后的更换影响不同,前者价昂且换装费时,故宜有较大安全裕度。此外,同一盐密度表征的污秽条件下,日本高压电缆终端套管的爬电比距较GB/T 16434规定值要稍大些。
综上,本次规范修改以“必须”取代“应”。
4.1.4 系原条文4.1.4保留条文。
4.1.5 系原条文4.1.5修改条文。
本条款3:在275kV及以下单芯XLPE电缆线路,直接对电缆实施金属层开断并做绝缘处理,以减免绝缘接头的设置,为最近欧洲、日本开创的新方法。欧洲是在需要实施交叉互联的局部段,剥切其外护层、金属套和外半导电层,且对露出的该段绝缘层实施表面平滑打磨后,再进行绝缘增强和密封防水处理,形成等效于绝缘接头的功能;日本的方法不同之处只是不切剥外半导电层,从而不存在绝缘层表面的再处理(可参见《广东电缆技术》,2002,No.4)。
我国近年在220kV XLPE电缆线路工程已如此实践。这种做法,常被称为假绝缘接头。
本条款4:带分支主干电缆(Main cable with branches)(有称预分支电缆)是一种在主干电缆多个特定部位实施工厂化预制分支的特殊形式电缆,它的分支接头,已被纳入该电缆整体,无须另选用T型接头。这种电缆目前我国只有低压级,国外已有6~10kV级,它主要用于高层建筑配电。
4.1.6 系原条文4.1.6修改条文。电力电缆,尤其是高压XLPE电缆的接头构造类型较多。接头的装置类型中直通接头与绝缘接头的基本构成相同,此类接头使用广泛,就高压范围看,充油电缆接头构造几乎已定型,而XLPE电缆随着应用不断扩展和技术进步,其接头选用问题则愈益受到关注。
现将世界上66kV以上XLPE电缆直通接头的构造类型、特点及其主要应用概况列示于表2。从不完全的调查所知,除了表中序号3、5、6等项外,列示的其他类型接头在我国66~220kV系统均有不同程度的应用,实践历史最长不到30年,而近年来,采用预制式接头已是较普遍趋向。
以往使用PJ、PMJ的工程实践中,有在竣工试验或运行不长时间发生绝缘击穿,但这些归属初期实践缺乏经验的因素,易于克服改观,无碍其继续有效应用(参见全国第六次电力电缆运行经验交流会论文集)。同属预制式的CSJ、SPJ,近年虽有较多选用趋向,从减免安装过程中绝缘件受污损,有利于增强绝缘可靠性,但其长期运行的界面压力将自然减小,就使用寿命期内未来是否确能保持所需绝缘特性而论,还不一定优于PJ。综合分析,表2所列各类型构造,除个别外,或许评断为时尚早,因而从—般性考虑按使用特征归纳出合理选择原则。
虽然66~1lOkV电缆线路原有的TJ多在正常运行,且还将继续。但对于TJ的应用问题,要看到以往采用它是由于接头的构造类型有限,其选择条件不像如今的多样化;TJ的可靠性受人为因素影响较大,是其本质弱点;既然可靠性相对较高的构造类型已不乏供选择,国产PMJ等也已问世,而TJ的应用电压不可能进入220kV级,其发展空间有限,再开发国产绕包机等缺乏实际意义,因此,对于工程设计限制选用TJ,有其积极意义。但这显然不意味现已正常运行的TJ均需撤换,它也不应属于工程设计范畴。
表2 66kV及以上XLPE电缆接头构造类型和主要应用概况



注:1 ﹡详见1997年、2000年全国第五次、第六次电力电缆运行经验交流会论文集,《上海电力》1993,No.1。
﹡﹡详见1992年全国第四次电力电缆运行经验会论文集。
2 除注1所示外,其余详见《电气学会技术报告》第767号,2000,3。
4.1.7、4.1.8 系原条文4.1.7、4.1.8保留条文。
4.1.9 系新增条文。电力电缆的金属层直接接地,是保障人身安全所需,也有利于电缆安全运行。
交流系统中三芯电缆的金属层,在两终端等部位以不少于2点接地,正常运行时金属层不感生环流。未规定单芯电缆一般也如此实施接地,是考虑正常运行的单芯电缆金属层感生环流及其损耗发热影响,故另以第5.1.10条区分要求。
电力电缆的金属层,为金属屏蔽层、金属套的总称,对于既有金属屏蔽层又有金属套的单芯电缆,金属层的接地是指二者均连通接地。
4.1.10 系原条文4.1.9修改条文。交流单芯电缆金属层正常感应电势(Es)的推荐算法示于本规范附录F,适合包括并列双回电缆的常用配置方式。它引自日本东京电力公司饭冢喜八郎等编著《电力ク一ブル技术ハソデシク》,1994年第2版。以往虽有资料给出Es算法,或较繁琐;或仅示出1回电缆,而并列双回是大多电缆线路工程的一般性情况,忽视相邻回路影响的Es算值,就比实际值偏小而欠安全。
1 50V是交流系统中人体接触带电设备装置的安全容许限值。它基于IEC 61936-1标准中所示人体安全容许电压50~80V;IEC 61200-413标准按通过人体不危及生命安全的容许电流29mA(试验测定值为30~67mA)和人体电阻1725Ω计,推荐在带电接触时容许电压为50V。
2 本款原规范感应电势容许值为100V,此次修改提升为300V,修改原因及其可行性、注意事项和这一修改的积极意义。分述如下:
1)高压电缆截面和负荷电流的愈益增大,在较长距离电缆线路工程,受金属正常感应电势容许值(ESM)仅1OOV的制约。往往不仅不能采取单点接地,而且交叉互联接地需以较多单元使得不长的电缆段就需设置绝缘接头。如500kV 1× 2500mm2;电缆通常三相直列式配置时,每隔约250m就需设置接头;若以品字形配置虽可增大距离,但在沟道中会使蛇形敷设施工困难。且支架的承受荷载过重、截流量较小以及安全性降低,因而靠限制电缆三相配置方式并非上策。
又基于超高压电缆的接头造价昂贵,且接头数量若多。不仅安装工作量大、工期长,且将影响运行可靠性降低,因而,近些年来日本、欧洲在大幅度增加电缆制造长度的同时,还采取提升ESM的做法,以作为一揽子对策。如:日本中部电力公司海部线275kV 1× 2500mm2XLPE电缆23km长,实施5个交叉互联单元。平均4300m长单元的3个区间段中,最长段按电缆制造长度1800m考虑;福冈220kV 1× 2000mm2XLPE电缆线路2.8km长。若按以往电缆制造长度约500m,需实施2个交叉互联单元,现可采取1个交叉互联,其最长区段按电缆制造长度增加为lO5Om考虑。由于接头减少,工程总投资节省了5%;其他还有类似的工程实践,那具有ES达200~300V的特点(参见《电气评论》1997.7和《フシクヲ技报》,1998.10等)。英国国家电网公司于20世纪初对运行30年的21km长275kV电缆线路改造,研究了由原来的28个交叉互联单元缩减为7个可行,交叉互联单元段增王2955~3099m,其中最大ES达214V;西班牙马德里地区400kV 1× 2500mm2XLPE电缆12.7km长输电干线,采取5个交叉互联单元,单元中最长区段按电缆制造长度850m考虑,ES达263~317V,该线路子2004年建成运行(参见《IEEE TPD》,V0l.18,No.3,2003和《Transmission ﹠Distribution world》,2005,8)。
2)原规范规定ESM≤1OOV,主要是参照日本1979年出版的《地中送电规程》JEAC 6021,该规程2000年修订版取消100V,改为在采取有效绝缘防护时不大于300V;着有绝缘防护用具或带电作业器具时不大于7000V(见《地中送电规程》JEAC 6021-2000)。此外,IEC的有关标准迄今末显示ESM值,然而在国际大电网会议(CIGRE)的有关专题论述中,曾涉及ESM的提升,20世纪70年代,当时一般按ESM为50~65V的情况下,CIGRE有撰文提出,在人体不能任意接触的情况,ESM可取60~1OOV;2000年CIGRE的论述则提出ESM可400V。美国电子电气工程师学会(IEEE)较早的标准《交流单相电缆金属层连接方式适用性以及电缆金属层感应电势和电流的计算导则》IEEE Std 575-1988载有:应以安全性限制ES,却未明示ESM值,只指出按通常电缆外护层的绝缘性,ESM可达300V,但需以600V为限;该导则附录中还示出当时北美地区电缆工程实践的ES最大值:美国60~90V,加拿大100V,均比同期欧洲广泛以65V的做法要高。
3)ESM超出50V时,不论是100V或300V,都属于人体不能任意接触需安全防护的范畴,这一电压终究不很高,在考虑工作人员万一可能带电接触,如电缆外扩层破损有金属层裸露时,运行管理中可明确需着绝缘靴或设绝缘垫筹;至于在终端或绝缘头有局部裸露金属,除了可设置警示牌外,对安置场所可采取埋设均压带或设置局部范围绝缘垫等措施。
顺便指出,按带电作业用绝缘垫产品适用电压等级划分为4类,其0类、1类为380V、3000V,相应耐压为10kV、20kV,故可认为ESM无论是100V或300V,绝缘垫选用也无差异(见《带电作业用绝缘垫》DL/T 853-2004标准)。
4)ESM值由100V提升至300V,对于电缆外护层绝缘保护器(简称护层电压限制器)的三相配置接线与参数匹配,有如下考虑:
①由于金属层上电气通路远离直接接地点的ES值,较以往可能增大3倍,在系统发生短路时该处的工频过电压(Uov)相应也将比以往情况增大3倍,为使装设于该处的护层电压限制器承受的Uov不致过高,可把三相接线由过去的Yo改为采取△或Y等,从而使作用于护层电压限制器的Uov,可降至Yo时的l/√3或1/2倍或者更低。
②护层电压限制器的残压(Ur),不得超出电缆外护层冲击过电压作用时的保护水平(UL),其工频耐压(UR)应满足UR≥Uov,是其参数选择匹配原则。如果因Uov比以往显著增大而不再满足该关系式,其方法之一是添加阀片串联数来提高UR,但伴随着Ur会增大,需验核Ur≤UL是否仍满足。近年日本的工程为适应ESM提升,曾采用此方法实践,或有启迪性。
③若上述①、②尚不足以适应.可促使开发更佳参数的护层电压限制器,也并不存在克服不了的技术障碍。
5)提升ESM的积极意义,是减免单芯电缆线路接头的配置,既降低工程造价和缩短工期,又有利于增强电缆线路系统的可靠性。电压等级越高,其效益越明显。此外,还将会促使我国生产厂家增大电缆制造长度,随之更有助于上述积极意义的体现。总之,在我国经济形势持续高涨下,高压、超高压的大截面单芯电缆线路工程建设,将不断发展,提升ESM仅每年投资节省费,估计将超过百万元或千万元以上。
4.1.11 系原条文4.1.10修改条文。
l 单点接地方式增添在线路中央部位也可实施,有利于其应用范围扩大。
2 原条文“35kV及以上的电缆线路”系印误,现更正为“35kV及以下电缆”。
3 电缆金属层实施绝缘分隔以取代绝缘接头,近年在国内外已成功实践。见第4.1.5条说明。
关于接地方式选择在中低压单芯电缆的国外做法简介如下:
35(或33)kV及以下电缆线路在不能以单点接地时,英国、日本等国通常是采取全接地方式,仅在33kV级大截面线路可能用交叉互联(见G.F.Moore,《Electric Cables Handbook》,1997)。
4.1.12 系原条文4.1.1l修改条文。
单芯电力电缆及其接头的外护层和终端支座、绝缘接头的金属层绝缘分隔、GIS终端的绝缘筒这三个部位,冲击耐压指标在国内外标准中有不尽全面的各自规定,现列于表3。
1 按电缆连接特征的等价电路求算:
1)电缆与架空线直接相连的情况,外护层的雷电冲击过电压算法:
①首侧终端接地、电缆尾侧金属层开路端的冲击过电压USA的表达式:
(1)
或当电缆尾端接有大的电容时:
(2)
②尾侧终端接地、电缆首侧金属层开路端的冲击电压USB的表达式:
(3)
式中:E——雷电进行波幅值(kV);
Zo——架空线波阻抗(Ω),一般为400~600Ω;
Zc——电缆导体与金属层之间波阻抗(Ω);
Zse——电缆金属层与大地之间波阻抗(Ω);
R——金属层接地电阻(Ω)。
Zc、Zse与电缆规格、型式和敷设方式有关,尤其后者影响差异较明显。理论计算值与实测值往往有较大差异,现从日本和国际大电网会议(CIGRE)文献中摘列部分 Zc、Zse值,列于表4。
表4 部分单芯电缆 Zc、Zse值

2)电缆直连GIS终端的绝缘筒,因断路器切合时产生操作过电压。具有约20MHz高频衰减振荡波和波头长0.1μs陡度的特征,该行波沿电缆导体浸入,在金属层感生暂态过电压的相关因素和等价电路,示于图l,可得到绝缘筒间过电压(Uab)、电缆金属层对地过电压(US)的表达式:
(4)
(5)
(6)
式巾 E1—— GIS的断路器切合过电压沿电缆导体进行波幅值(kV);
Zch——气体绝缘母线的芯线与护层间波阻抗(Ω);
Zcs——气体绝缘母线的护层与大地间波阻抗(Ω);
L1、L2——气体绝缘母线和电缆的各自接地线感抗(Ω);
C——两护层间的杂散电容(F);
其余符号含意同上。
以上算法虽不复杂,然而在工程设计中要确定准确的有关参数,一般较难办。

(a)连接形态 (b)等价电路
图1 电缆直连GIS终端绝缘筒的暂态过电压计算用等价电路
2 经由实际系统的测试结果评估。迄今所见,主要有日本报道过66kV及以上单芯电缆线路的系列实际测试,现摘列部分结果如下:
1)对于66~275kV电缆未设置护层电压限制器情况,20世纪80年代起先后进行过10次以上测试,电缆线路金属层对地暂态过电压(US)分别达45.6kV、100~219kV、90~246kV(相应额定电压级为66kV、154kV、275kV),均已超出电缆外护层绝缘耐压水平。
此外,系列66~154kV电缆具有多个交叉互联单元的长线路测试数据,显示了电缆线路首端(雷电波侵入侧;若线路另一侧直连架空线,则存在两侧首端)起始1~2个交叉互联单元的US才有超过耐压值情况,其后的US均在耐压水平以下。虽如此,但日本对275kV及以上电缆线路所有的绝缘接头,均仍设置护层电压限制器以策安全。
2)66~275kV电缆直连GIS终端的绝缘简,在3种不同条件电缆线路的测试结果,Uab分别达44.9kV、52.4kV、104.4kV、186.6kV(相应额定电压级为66kV、77kV、154kV、275kV),均超出耐压值,若在绝缘筒并联0.03μF电容或护层电压限制器,则测得Uab不超过6~14kV,证实有效。[参见日本《电气学会技术报告》第366号(1991)、第527号(1994)等专题论述]。
3 基于以上论述就本条文内容作如下解释。
1)单芯电缆的外护层等3类部位,在运行中承受可能的暂态过电工,如雷电波或断路器操作、系统短路时所产生,若作用幅值超出这些部位的耐压指标时,就应附加护层电压限制器保护,是作为原则要求。
2)因35kV以上电缆系统的US实测有超出耐压值情况,又考虑通常对具体工程难以确切判明,为安全计就一般而论,均需实施过电压保护。如果有工程经实测或确切计算认为无须采取,则属“一般”之外。
3)35kV及以下单芯电缆以往多末装设护层电压限制器,经多年运行尚未反映有过电压问题;而实测US随额定电压由高至低有较大幅度变小的趋势,况且设置后若选用不当(如工频过电压的热损坏)也会带来弊病,故与35kV以上的对策宜有所区分。鉴于国内有的35kV电缆工程近年也设置护层电压限制器,利于安全的积极意义,需引起重视,现都综合反映于修改的条文中。
4)原条文只规定单点接地方式下护层电压限制器的设置,对交叉互联情况未予规定,易产生误解,现予以补增。
5)本条款l的第3)项也系补增。首先需指出,我国迄今使用电缆直连GIS终端为国外引进产品,国内有关标准尚无GIS终端的绝缘筒耐压指标,现基于上述第l款第2)项,并借鉴日本《地中送电规程》JEAC 6021-2000规定(如图2)拟定此对策。其次在用词上并末以“应”而取“宜”,是考虑到一旦若选用较高的耐压指标而确能耐受Uab时,保护措施或将免除。

图2 GIS终端绝缘筒及其接地和保护示意
4.1.13 系原条文4.1.12修改条文。现行的电缆用护层电压限制器(Sheath Voltage Limiter,简称SVL)主体为无间隙的氧化锌
阀片,具有电压为电流函数的非线性变化特征,其特征参数含:①起始动作电压UlmA;②残压Ur;③一定时间内的工频耐压UAC.t。
1 雷电波侵入或断路器操作时产生的冲击感应过电压,使SVL动作形成的Ur,不致超过电缆护层绝缘耐受水平,是作为其功能的基本要素之一,Ur乘以1.4是计入绝缘配合系数。
2 电缆金属层相连的SVL,在系统正常运行时所承受几百伏内的电压下,具有很高的电阻性,犹如对地隔断状态;当系统短路时产生的工频过电压(UOV.AC),在短路切除时间(tK)内,不超出UAC.t时则SVL能保持正常工作。
我国现行SVL用的串联阀片,显示有单个阀片的特性参数,其UAC.t按2s给出。 日本按66~275kV电缆系统用的整体SVL示出参数含有UlmA≥4.5kV,Ur≤14kV;另对SVL在工频过电压下是否出现热损坏的界定,曾基于系列试验归纳出电压、时间临界关系曲线,如tK为0.2s或2s时,不发生热破坏的相应临界工频电压为6.4kV或6kV(参见《电气评论》1997年7月号载“电力ケ一ブル防食层保护装置の适用基准”)。
就tK值的确定而论,不同电压级系统继电保护与断路器动作的可靠性统计,显示了tK存在差别,如日本1984~l991年根据3大电力系统实绩,按电压级500kV、275kV、154kV及以下,推荐tK相应为0.2s、0.4s、2s(见《电气学会技术报告》第527号,1994);但英国则按继电保护的第2级动作来择取tK(见G.F.Moore,《Electric Cables Handbook》,1997);我国的部分运行统计,则显示与日本类似规律。按原条文tK统一按5s计诚然偏安全,但考虑到此次修改正常感应电势由100V提升至300V后,将使UOV.AC值比以往会增大,随之给SVL的UAC.t选择可能带来困难,而对超高压电缆的tK考虑比5s减小时就有所弥补,故修改原条文硬性的5s规定,采取变通的表达。
4.1.14 系原条文4.1.13修改条文。
1 单点接地方式电缆线路的SVL接线配置方式有Y0、Y或△。一般安置SVL的环境较潮湿,△、Y法的SVL需保持对地绝缘性,且不及Y0法易于实施阀片的老化检测,故以往实践中多使用Y0法,且三相装一箱,其中每台SVL还配置连接片或隔离刀闸。又△比Y0的抑制过电压效果较好,但承受工频过电压却是Y0法的1.73倍;Y则比Y0的工频过电压稍低,它适合接地电阻大于0.2Ω情况。
2 交叉互联电缆线路在绝缘接头部位,设置SVL的三相连接方式有多种提议,主要有:(a)Y0;(b)△或桥形不接地;(c)桥形接地;(d)△加Y0双重式等。 日本《地中送电规程》JEAC 602l-2000载有(a)~(c)示例,如图3所示。

图3 交叉互联线路设置护层电压限制器的三相连接方式
从暂态过电压保护效果看,按最佳到较差的顺序依次有(d)>(c)>(b)>(a);就(b)与(c)相比,如果保护回路一旦断线时,对地的暂态感应电势(US)二者虽相当,但绝缘接头金属层绝缘分隔的跨接暂态感应电势(UAA),(b)比(c)显著较高;就连接线长度影响而论,(a)方式的连接线比(b)、(c)长,一般达2~lOm或电缆直埋时可能更长,暂态冲击波沿连接的波阻产生压降,与SVL的Ur一起叠加作用之US,前者就往往占有相当份额,而(c)配置方式跨接于绝缘接头的SVL以铜排连接时长度只为0.02~0.2m。
从系统短路时产生UOV.AC作用于SVL的大小来看,(a)为(b)的1/√3。(c)为(b)的l/2。
从运行中定期需进行检测的方便性来看,带有隔离刀闸的Y0接线方式(a),就有其优点。
英国等欧洲电缆直埋线路曾广泛使用Y0接线,日本以往曾用Y0,近年则主要采取上述(b)、(c),也有采取(b)与(a)联合方式。
3 SVL连接回路的要求,除了从电气性协调一致考虑外,还从实际使用条件以及经验启迪所归纳,尤其是直埋电缆的环境。例如英国直埋电缆线路设置的SVL箱,按可能处于lm深水中条件做防水密封;箱壳顶采取钟罩式;箱体采取铸铁或不锈钢;箱内绝缘支承用瓷质件;对同轴电缆引入处加密封套;部分空隙以沥青化合物充填等。国际大电网会议(CIGRE)的有关导则也强调箱体应密封防潮。又如我国工程实践,有的箱底胶木板在运行中受潮丧失绝缘性,同轴电缆末与它充分隔开时,进行绝缘检测易出现误判等。
注:参见《电气学会技术报告》第366号(1991),第527号(1994);G.F.Moore,《Electric cables Handbook》,1997;《Electra》No.128.1990;《上海电力》No.4.2001等。
4.1.15 系原条文4.1.14修改条文。工程实践显示,一般是在单点接地方式下考虑设置回流线所带来改善的功能,现按此改变原条文表达方式,既确切又有助提示其积极意义,以适应规范有关条款改变后的局面,即此次单芯电缆金属层正常运行下感应电势限值主100V提升至300V,将使电缆线路单点接地方式的容许距离显著增长,随之在系统短路时产生的工频感应过电压(UOV.AC),会比以往有增大至约3倍可能,设置回流线以抑制UOV.AC就不失为一有效对策。
如UOV.AC值增高超出SVL的UAC.t时,交叉互联接地具有的使SVL由△接法改变为Y0、桥形接地来降低UOV.AC之途径,对单点接地方式却不适应,需以回流线的设置来适应。
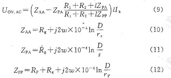
4.1.16 系原条文4.1.15修改条文。110kV及以上交流系统中性点为直接接地,系统发生单相短路时,在金属层单点接地的电缆线路。沿金属层产生的UOV.AC有下列表达式:
元并行回流线:
(7)
有并行回流线,回流线与电源中性线接地的地网未接通:
(8)
有并行回流线,回流线与电源中性线接地的地网连通:

式中 D——地中电流穿透深度;当f=50Hz时,D=93.18√ρ(m);ρ为土壤电阻率(Ω·m),通常为20~100;直埋取50~100;
R——金属层单点接地处的接地电阻(Ω):
Rp和R1、R2——回流线电阻(Ω/km)及其两瑞的接地电阻(Ω);
Rg——大地的漏电电阻(Ω/km),Rg=π2×f×10-4=0.0493;
rp、rS——回流线导体、电缆金属层的平均半径(m);
s——回流线至相邻最近一相电缆的距离(m);
Ik——短路电流(kA),ω=2πf,f为工作频率(Hz);
l——电缆线路计算长成(km);当SVL设置于线路中央或者设置于两侧终端而在线路中间直接接地时,l为两则终端之间线路长度的一半。
运用(7)~(9)式的一般结果显示:(7)式中R占相当份额,同一条件下有(8)比(7)式算值小,(9)比(8)式算值较小因而比(7)式算值更小。由此,本条款3和条款1的前一段,得以释明,后一段则指,系统短路时在回流线感生的暂态环流。按发热温升不致熔融导体是保持继续使用功能的最低要求。现以热稳定计是留有充分的安全裕度。
需指出,当电缆并非直埋或排管敷设而是在隧道、沟道中,则金属支架接地的连接线就具有一定程度的回流线功能。
注:上述算式可参见江日洪编《交联聚乙烯电力电缆线路》,1997;《Elactra》No.128,1990等。
4.1.17 系原条文4.1.16保留条文。
4.1.18 系原条文4.1.17修改条文。电缆的金属层是金属屏蔽层、金属套的总称。
- 上一节:4 电缆附件的选择与配置
- 下一节:4.2 自容式充油电缆的供油系统