3.2 保温计算


3.2.1 直埋保温管的保温厚度应符合下列规定:
    1 保温层外表面温度应进行验算,且应小于50℃;
    2 当直埋保温管周围设施或环境条件对温度有要求时,应对温度场进行验算。
3.2.2 计算保温层厚度时选用的自然地温数据,可按本规程附录A选取。
3.2.3 管道的热损失应按下列公式计算:
式中:qs——供水管单位长度热损失(W/m);
      qr——回水管单位长度热损失(W/m);
      ts——计算供水温度(℃);
      tr——计算回水温度(℃);
      tg——管道中心线的自然地温(℃);
      Rg——土壤热阻[(m·K)/W];
      Rt——保温材料热阻[(m·K)/W]
      Rh——附加热阻[(m·K)/W];
      R0——土壤表面换热热阻,可取0.0685[(m²·K)/W];
      λg——土壤导热系数[W/(m·K)],应取实测数据。估算时湿土可取1.5~2W/(m·K),干沙可取1W/(m·K);
      λt——保温材料在运行温度下的导热系数[W/(m·K)];
      H——管道中心线覆土深度(m);
      Hl——管道当量覆土深度(m);
      Dw——保温层外径(m);
      Do——工作管外径(m);
      e——供、回水管中心线距离(m)。
3.2.4 保温层外表面温度应按下式计算:
tws=ts-qs×Rt      (3.2.4-1)
twr=tr-qr×Rt      (3.2.4-2)
式中:tws——供水管保温层外表面温度(℃);
      twr——回水管保温层外表面温度(℃);
      qs——供水管单位长度热损失(W/m);
      qr——回水管单位长度热损失(W/m);
      ts——计算供水温度(℃);
      tr——计算回水温度(℃);
      Rt——保温材料热阻[(m·K)/W]。
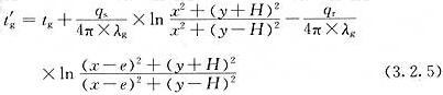
3.2.5 保温管周围土壤温度可按下式计算:
式中:t′g——计算点的土壤温度(℃);
      tg——管道中心线的自然地温(℃);
      qs——供水管单位长度热损失(W/m);
      qr——回水管单位长度热损失(W/m);
      λg——土壤导热系数[W/(m·K)];
      x——计算点与供水管中心线的水平距离;
      y——计算点的覆土深度;
      H——管道中心线覆土深度(m);
      e——供、回水管中心线距离(m)。
 
条文说明
 
3.2 保温计算
3.2.1 直埋保温管的保温厚度除要满足制造要求外,还要满足设计要求。在直埋热水管道设计中,起主要作用的计算条件是外护层耐温要求。特殊情况下附近其他设施对地温升高很敏感时,还要求计算环境温度。
3.2.2 附录A给出了部分城市的自然地温数据,摘自《城镇供热直埋蒸汽管道技术规程》CJJ 104-2005。
3.2.3、3.2.4 热水供热管道一般为供回水管同沟敷设,两根管道散热形成的温度场与单管敷设不同,需要计入两管温度的相互影响,本条采用附加热阻的计算方法,并进行了适当简化。保温计算时,先设定管道保温层厚度,根据敷设条件计算管道散热损失,再校核保温层外表面温度,如保温管表面温度不满足本规程3.2.1的条件,则需要调整保温厚度重新计算。
3.2.5 双管敷设供热管道温度场计算时,计算点坐标χ取与供水管中心线的水平距离,y取与地面的垂直距离(见图1)。
保温计算示意图
图1 保温计算示意图

目录导航