14.2 计算要点
14.2.1 按本章要求采取抗震措施的下列地下建筑,可不进行地震作用计算:
1. 7度Ⅰ、Ⅱ类场地的丙类地下建筑。
2. 8度(0.20g)Ⅰ、Ⅱ类场地时,不超过二层、体型规则的中小跨度丙类地下建筑。
14.2.2 地下建筑的抗震计算模型,应根据结构实际情况确定并符合下列要求:
1. 应能较准确地反映周围挡土结构和内部各构件的实际受力状况;与周围挡土结构分离的内部结构,可采用与地上建筑同样的计算模型。
2. 周围地层分布均匀、规则且具有对称轴的纵向较长的地下建筑,结构分析可选择平面应变分析模型并采用反应位移法或等效水平地震加速度法、等效侧力法计算。
3. 长宽比和高宽比均小于3及本条第2款以外的地下建筑,宜采用空间结构分析计算模型并采用土层-结构时程分析法计算。
14.2.3 地下建筑抗震计算的设计参数,应符合下列要求:
1. 地震作用的方向应符合下列规定:
1)按平面应变模型分析的地下结构,可仅计算横向的水平地震作用;
2)不规则的地下结构,宜同时计算结构横向和纵向的水平地震作用;
3)地下空间综合体等体型复杂的地下结构,8、9度时尚宜计及竖向地震作用。
2. 地震作用的取值,应随地下的深度比地面相应减少:基岩处的地震作用可取地面的一半,地面至基岩的不同深度处可按插入法确定;地表、土层界面和基岩面较平坦时,也可采用一维波动法确定;土层界面、基岩面或地表起伏较大时,宜采用二维或三维有限元法确定。
3. 结构的重力荷载代表值应取结构、构件自重和水、土压力的标准值及各可变荷载的组合值之和。
4. 采用土层-结构时程分析法或等效水平地震加速度法时,土、岩石的动力特性参数可由试验确定。
14.2.4 地下建筑的抗震验算,除应符合本规范第5章的要求外,尚应符合下列规定:
1. 应进行多遇地震作用下截面承载力和构件变形的抗震验算。
2. 对于不规则的地下建筑以及地下变电站和地下空间综合体等,尚应进行罕遇地震作用下的抗震变形验算。计算可采用本规范第5.5节的简化方法,混凝土结构弹塑性层间位移角限值[θp]宜取1/250。
3. 液化地基中的地下建筑,应验算液化时的抗浮稳定性。
液化土层对地下连续墙和抗拔桩等的摩阻力,宜根据实测的标准贯入锤击数与临界标准贯入锤击数的比值确定其液化折减系数。
条文说明
14.2 计算要点
14.2.1 本条根据当前的工程经验,确定抗震设计中可不进行计算分析的地下建筑的范围。
设防烈度为7度时Ⅰ、Ⅱ类场地中的丙类建筑可不计算,主要是参考唐山地震中天津市人防工程震害调查的资料。
设防烈度为8度(0.20g)Ⅰ、Ⅱ类场地中层数不多于2层、体型简单、跨度不大、构件连结整体性好的丙类建筑,其结构刚度相对较大,抗震能力相对较强,具有设计经验时也可不进行地震作用计算。
14.2.2 本条规定地下建筑抗震计算的模型和相应的计算方法。
1. 地下建筑结构抗震计算模型的最大特点是,除了结构自身受力、传力途径的模拟外,还需要正确模拟周围土层的影响。
长条形地下结构按横截面的平面应变问题进行抗震计算的方法,一般适用于离端部或接头的距离达1.5倍结构跨度以上的地下建筑结构。端部和接头部位等的结构受力变形情况较复杂,进行抗震计算时原则上应按空间结构模型进行分析。
结构形式、土层和荷载分布的规则性对结构的地震反应都有影响,差异较大时地下结构的地震反应也将有明显的空间效应。此时,即使是外形相仿的长条形结构,也宜按空间结构模型进行抗震计算和分析。
2. 对地下建筑结构,反应位移法、等效水平地震加速度法或等效侧力法,作为简便方法,仅适用于平面应变问题的地震反应分析;其余情况,需要采用具有普遍适用性的时程分析法。
3. 反应位移法。采用反应位移法计算时,将土层动力反应位移的最大值作为强制位移施加于结构上,然后按静力原理计算内力。土层动力反应位移的最大值可通过输入地震波的动力有限元计算确定。
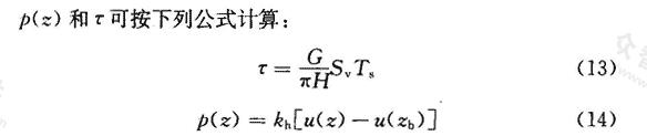
以长条形地下结构为例,其横截面的等效侧向荷载为由两侧土层变形形成的侧向力p(z)、结构自重产生的惯性力及结构与周围土层间的剪切力τ三者的总和(图30)。地下结构本身的惯性力,可取结构的质量乘以最大加速度,并施加在结构重心上。

图30 反应位移法的等效荷载

式中,τ为地下结构顶板上表面与土层接触处的剪切力;G为土层的动剪变模量,可采用结构周围地层中应变水平为10-4量级的地层的剪切刚度,其值约为初始值的70%~80%;H为顶板以上土层的厚度,Sv为基底上的速度反应谱,可由地面加速度反应谱得到;Ts为顶板以上土层的固有周期;p(z)为土层变形形成的侧向力,u(z)为距地表深度z处的地震土层变形;zb为地下结构底面距地表面的深度;kh为地震时单位面积的水平向土层弹簧系数,可采用不包含地下结构的土层有限元网格,在地下结构处施加单位水平力然后求出对应的水平变形得到。
4. 等效水平地震加速度法。此法将地下结构的地震反应简化为沿垂直向线性分布的等效水平地震加速度的作用效应,计算采用的数值方法常为有限元法;等效侧力法将地下结构的地震反应简化为作用在节点上的等效水平地震惯性力的作用效应,从而可采用结构力学方法计算结构的动内力。两种方法都较简单,尤其是等效侧力法。但二者需分别得出等效水平地震加速度荷载系数和等效侧力系数等的取值,普遍适用性较差。
5. 时程分析法。根据软土地区的研究成果,平面应变问题时程分析法网格划分时,侧向边界宜取至离相邻结构边墙至少3倍结构宽度处,底部边界取至基岩表面,或经时程分析试算结果趋于稳定的深度处,上部边界取至地表。计算的边界条件,侧向边界可采用自由场边界,底部边界离结构底面较远时可取为可输入地震加速度时程的固定边界,地表为自由变形边界。
采用空间结构模型计算时,在横截面上的计算范围和边界条件可与平面应变问题的计算相同,纵向边界可取为离结构端部距离为2倍结构横断面面积当量宽度处的横剖面,边界条件均宜为自由场边界。
14.2.3 本条规定地下结构抗震计算的主要设计参数:
1. 地下结构的地震作用方向与地面建筑的区别。首先是对于长条形地下结构,作用方向与其纵轴方向斜交的水平地震作用,可分解为横断面上和沿纵轴方向作用的水平地震作用,二者强度均将降低,一般不可能单独起控制作用。因而对其按平面应变问题分析时,一般可仅考虑沿结构横向的水平地震作用;对地下空间综合体等体型复杂的地下建筑结构,宜同时计算结构横向和纵向的水平地震作用。其次是对竖向地震作用的要求,体型复杂的地下空间结构或地基地质条件复杂的长条形地下结构,都易产生不均匀沉降并导致结构裂损,因而即使设防烈度为7度,必要时也需考虑竖向地震作用效应的综合作用。
2. 地面以下地震作用的大小。地面下设计基本地震加速度值随深度逐渐减小是公认的,但取值各国有不同的规定;一般在基岩面取地表的1/2,基岩至地表按深度线性内插。我国《水工建筑物抗震设计规范》DL 5073第9.1.2条规定地表为基岩面时,基岩面下50m及其以下部位的设计地震加速度代表值可取为地表规定值的1/2,不足50m处可按深度由线性插值确定。对于进行地震安全性评价的场地,则可根据具体情况按一维或多维的模型进行分析后确定其减小的规律。
3. 地下结构的重力荷载代表值。地下建筑结构静力设计时,水、土压力是主要荷载,故在确定地下建筑结构的重力荷载的代表值时,应包含水、土压力的标准值。
4. 土层的计算参数。软土的动力特性采用Davidenkov模型表述时,动剪变模量G、阻尼比λ与动剪应变γd之间满足关系式:

式中:ρ为质量密度,cs为剪切波速,σ′v为有效上覆压力,γ′i为第i层土的有效重度,hi为第i层土的厚度,α2、α3为经验常数,可由当地试验数据拟合分析确定。
14.2.4 地下建筑不同于地面建筑的抗震验算内容如下:
1. 一般应进行多遇地震下承载力和变形的验算。
2. 考虑地下建筑修复的难度较大,将罕遇地震作用下混凝土结构弹塑性层间位移角的限值取为[θp]=1/250。由于多遇地震作用下按结构弹性状态计算得到的结果可能不满足罕遇地震作用下的弹塑性变形要求,建议进行设防地震下构件承载力和结构变形验算,使其在设防地震下可安全使用,在罕遇地震下能满足抗震变形验算的要求。
3 在有可能液化的地基中建造地下建筑结构时,应注意检验其抗浮稳定性,并在必要时采取措施加固地基,以防地震时结构周围的场地液化。鉴于经采取措施加固后地基的动力特性将有变化,本条要求根据实测标准贯入锤击数与临界锤击数的比值确定液化折减系数,并进而计算地下连续墙和抗拔桩等的摩阻力。
- 上一节:14.1 一般规定
- 下一节:14.3 抗震构造措施和抗液化措施