11 氧气管道
11.0.1 氧气管道宜采用架空敷设。当架空敷设有困难时,可采用不通行地沟敷设或直接埋地敷设。
11.0.2 厂区管道架空敷设时,应符合下列规定:
1 氧气管道应敷设在不燃烧体的支架上;
2 除氧气管道专用的导电线路外,其他导电线路不得与氧气管道敷设在同一支架上;
3 当沿建筑物的外墙或屋顶上敷设时,该建筑物应为一、二级耐火等级,并应是与氧气生产或使用有关的车间建筑物;
4 氧气管道、管架与建筑物、构筑物、铁路、道路等之间的最小净距应符合本规范附录B的规定;
5 氧气管道与其他气体、液体管道共架敷设时,宜布置在其他管道外侧,并宜布置在燃油管道的上面。各种管线之间的最小净距应符合本规范附录C的规定;
6 氧气管道上设有阀门时,应设置操作平台;
7 寒冷地区的含湿气体管道应采取防护措施。
11.0.3 厂区管道直接埋地敷设或采用不通行地沟敷设时,应符合下列规定:
1 氧气管道严禁埋设在不使用氧气的建筑物、构筑物或露天堆场下面或穿过烟道;
2 氧气管道采用不通行地沟敷设时,沟上应设防止可燃物料、火花和雨水侵入的不燃烧体盖板;严禁氧气管道与油品管道、腐蚀性介质管道和各种导电线路敷设在同一地沟内,并不得与该类管线地沟相通;
3 直接埋地或不通行地沟敷设的氧气管道上不应装设阀门或法兰连接点,当必须设阀门时,应设独立阀门井;
4 氧气管道不应与燃气管道同沟敷设,当氧气管道与同一使用目的燃气管道同沟敷设时,沟内应填满沙子,并严禁与其他地沟直接相通;
5 埋地深度应根据地面上的荷载决定。管顶距地面不宜小于0.7m;含湿气体管道应敷设在冻土层以下,并应在最低点设排水装置。管道穿过铁路和道路时应设套管,其交叉角不宜小于45°;
6 氧气管道与建筑物、构筑物及其他埋地管线之间的最小净距应符合本规范附录D的规定;
7 直接埋地管道应根据埋设地带土壤的腐蚀等级采取相应的防腐蚀措施。
8 当氧气管道与其他不燃气体或水管同沟敷设时,氧气管道应布置在上面,地沟应能排除积水。
11.0.4 车间内氧气管道的敷设应符合下列规定:
1 氧气管道不得穿过生活间、办公室;
2 车间内氧气管道宜沿墙、柱或专设的支架架空敷设,其高度应不妨碍交通和便于检修;
3 氧气管道与其他管线共架敷设时,应符合本规范第11.0.2条第5款的规定;
4 当不能架空敷设时,可采用不通行地沟敷设,但应符合本规范第11.0.3条第2款~第4款和第8款的规定;
5 进入用户车间的氧气主管应在车间入口处装设切断阀、压力表,并宜在适当位置设放散管;
6 氧气管道的放散管应引至室外,并应高出附近操作面4m以上的无明火场所;
7 氧气管道不得穿过高温作业及火焰区域。当必须穿过时,应在该管段增设隔热措施,其管壁温度不应超过70℃;
8 穿过墙壁、楼板的氧气管道应敷设在套管内;套管内不得有焊缝,管子与套管间的间隙应采用不燃烧的软质材料填实;
9 氧气管道不应穿过不使用氧气的房间。当必须通过不使用氧气的房间时,其在房间内的管段上不得设有阀门、法兰和螺纹连接,并应采取防止氧气泄漏的措施;
10 供切割、焊接用氧的管道与切割、焊接工具或设备用软管连接时,供氧嘴头及切断阀应设置在用不燃烧材料制作的保护箱内。
11.0.5 通往氧气压缩机的氧气管道以及装有压力、流量调节阀的氧气管道上,应在靠近机器入口处或压力、流量调节阀的上游侧装设过滤器,过滤器的材料应为不锈钢、镍铜合金、铜、铜基合金。
11.0.6 氮气和氩气与各类其他管道、建筑物、构筑物等之间的间距宜符合现行国家标准《压缩空气站设计规范》GB 50029的有关规定。
11.0.7 氧气、氮气、氩气管道敷设在通行地沟或半通行地沟时,必须设有可靠的通风安全措施。
11.0.8 氧气管道的管径应按下列条件计算确定:
1 计算流量应采用该管系最低工作压力、最高工作温度时的实际流量;
2 流速应为工作压力下的管内氧气实际流速,氧气管道内的最高流速不得超过表11.0.8的规定。
表11.0.8 氧气管道内的最高流速

11.0.9 氧气管道材质选用应符合表11.0.9的规定。
表11.0.9 氧气管道材质选用



注:1 “√”表示允许采用,“×”表示不允许采用。
2 碳钢钢板卷焊管只宜用于工作压力小于0.1MPa,且管径超过现有焊接钢管、无缝钢管产品管径的情况下。
3 表中阀指干管阀门、供一个系统的支管阀门、车间入口阀门。
4 不锈钢板卷焊管,内壁焊缝磨光条件下,允许使用在压力不高于5MPa的一般场所。
5 工作压力大于3.0MPa的铜合金管不包括铝钢合金。
6 铜基合金:钢的含量超过55%(重量)的紫铜、黄铜(含锌铜合金)、青铜(含铝、硅、镁、锡、铅等的铜合金),白铜(含镍铜合金)的总称。青铜类合金中铝含量不超过2.5%(重量)。
7 镍基合金:通常镍的含量不少于50%(重量)的镍200、镍铜(蒙乃尔-400和蒙乃尔-500)、镍铬(因科镍合金600和因科镍合金X-750)、镍铬钼(哈司特镍合金C-275和因科镍合金625)等的总称。
11.0.10 氧气管道的阀门应符合下列规定:
1 设计压力大于0.1MPa的氧气管道上,不得采用闸阀;
2 设计压力大于或等于1.0MPa且公称直径大于或等于150mm的氧气管道上的手动阀门,宜设旁通阀;
3 设计压力大于1.0MPa,公称直径大于或等于150mm的氧气管道上经常操作的阀门,宜采用气动阀门;
4 阀门材料选用应符合表11.0.10的规定。
表11.0.10 阀门材料选用
| 设计压力P(MPa) | 材 料 |
| <0.6 | 阀体、阀盖采用可锻铸铁、球墨铸铁或铸钢,阀杆采用碳钢或不锈钢,阀瓣采用不锈钢 |
| 0.6~10 | 采用全不锈钢、铜基合金或不锈钢与铜基合金组合、镍及镍基合金 |
| >10 | 采用铜基合金、镍及镍基合金 |
注:1 设计压力大于或等于0.1MPa管道上的压力或流量调节阀的材料,应采用不锈钢或铜基合金或以上两种材料的组合。
2 阀门的密封填料宜采用聚四氟乙烯或柔性石墨材料。
11.0.11 氧气管道上的法兰、紧固件应按国家现行标准选用,氧气管道法兰用垫片应符合表11.0.11的规定。
表11.0.11 氧气管道法兰用垫片
| 设计压力P(MPa) | 垫 片 |
| <0.6 | 聚四氟乙烯垫片、柔性石墨复合垫片 |
| 0.6~3.0 | 缠绕式垫片、聚四氟乙烯垫片、柔性石墨复合垫片 |
| 3.0~10 | 缠绕式垫片、退火软化铜垫片、镍及镍基合金片 |
| >10.0 | 退火软化铜垫片、镍及镍基合金片 |
11.0.12 氧气管道上的弯头应符合下列规定:
1 氧气管道严禁采用折皱弯头;
2 采用冷弯或热弯弯制碳钢弯头时,弯曲半径不应小于公称直径的5倍;
3 采用标准的对焊无缝碳钢弯头时,应采用长半径弯头;
4 采用铜镍合金、铜或铜基合金无缝弯头时,可采用短半径弯头;
5 设计压力小于或等于0.1MPa的卷焊钢管可采用斜接弯头,斜接弯头制作和使用应符合现行国家标准《工业金属管道设计规范》GB 50316的有关规定。
11.0.13 氧气管道的异径接头、分岔头应符合下列规定:
1 异径接头宜采用标准的钢制对焊无缝异径接头。当焊接制作时,变径部分长度不应小于两端管外径差值的3倍,其内壁应平滑,无锐边、毛刺及焊瘤;
2 分岔头宜采用标准的钢制对焊无缝三通。当焊接制作时,应按设计图纸预制,并加工到无锐边、突出部及焊瘤。不得在安装时开孔插接。
11.0.14 输送含湿气体或需做水压试验的管道应设不小于0.003的坡度,并在管道最低点设排水装置。
11.0.15 氧气管道因温度变化产生的应力宜采用自然补偿。
11.0.16 氧气管道的连接应采用焊接,但与设备、阀门连接处可采用法兰或螺纹连接。螺纹连接处应采用聚四氟乙烯带作为填料,不得采用涂铅红的麻或棉丝,或其他含油脂的材料。
11.0.17 氧气管道应设置导除静电的接地装置,并应符合下列规定:
1 厂区架空或地沟敷设管道,在分岔处或无分支管道每隔80m~100m处,以及与架空电力电缆交叉处应设接地装置;
2 进、出车间或用户建筑物处应设接地装置;
3 直接埋地敷设管道应在埋地之前及出地后各接地一次;
4 车间或用户建筑物内部管道应与建筑物的静电接地干线相连接;
5 每对法兰或螺纹接头间应设跨接导线,电阻值应小于0.03Ω。
11.0.18 氧气管道的弯头、分岔头不得紧接安装在阀门的出口侧,其间宜设长度不小于5倍管道公称直径且不应小于1.5m的直管段。
11.0.19 氧气管道施工验收应符合下列规定:
1 氧气管道、阀门及管件应无裂缝、鳞皮、夹渣等。接触氧气的表面必须彻底去除毛刺、焊瘤、焊渣、粘砂、铁锈和其他可燃物等,保持内壁光滑清洁。管道内、外表面除锈应进行到出现本色为止;
2 管道、阀门、管件、仪表、垫片及与氧气直接接触的其他附件的脱脂应符合现行行业标准《脱脂工程施工及验收规范》HG 20202或施工设计文件的规定。脱脂合格后的氧气管道应封闭管口,并宜充入干燥氮气;
3 碳钢材质的氧气管道的焊接应采用氩弧焊打底。不锈钢管道的焊接应采用氩弧焊;
4 氧气管道焊缝质量应采用射线照相检验。对液氧管道及氧气管道设计压力大于4.0MPa时,应进行100%的射线照相检验,其质量等级不得低于Ⅱ级;氧气管道设计压力1.0MPa~4.0MPa时,可抽样检验。抽检比例固定焊口宜为40%,转动焊口宜为15%,其质量等级不得低于Ⅱ级;氧气管道设计压力小于1.0MPa时,抽检比例不得低于5%,其质量等级不得低于Ⅲ级;
5 氧气管道的试验介质及试验压力应符合表11.0.19的规定;
表11.0.19 氧气管道的试验介质及试验压力
| 管道设计压力P | 强度试验 | 严密性试验 | ||
| 试验介质 | 试验压力(MPa) | 试验介质 | 试验压力(MPa) | |
| <0.1 | 空气或氮气 | 0.1 | 空气或氮气 | 1.0P |
| 0.1~4.0 | 1.15P | 1.0P | ||
| >4.0 | 水 | 1.5P | 1.0P | |
注:1 空气或氮气必须是无油脂和干燥的。
2 水应为无油和干净的。对于奥氏体不锈钢管,试验水中的氯离子含量不得超过25×10-6。
3 以气体介质做强度试验时,应制订有效的安全措施,并经有关安全部门批准后进行。
4 P为管道设计压力。
6 强度及严密性试验的检验应符合下列规定:
1)用空气或氮气做强度试验时,当达到试验压力且稳压5min后,应无变形,无泄漏。用水做强度试验时,当达到试验压力且稳压10min后,应无变形,无泄漏。
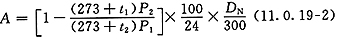
2)严密性试验达到试验压力后持续24h,室内及地沟管道的平均小时泄漏率不应超过0.25%;室外管道的平均小时泄漏率不应超过0.5%。平均小时泄漏率应按下列公式计算:
当管道公称直径小于300mm时:

当管道公称直径大于或等于300mm时:

式中:A——平均小时泄漏率;
P1、P2——试验开始、终了时的绝对压力(MPa);
t1、t2——试验开始、终了时的温度(℃);
DN——管道公称直径(mm)。
11.0.20 严密性试验合格的管道应采用无油、干燥的空气或氮气以不小于20m/s,且不低于氧气设计流速的速度吹扫,直至出口无铁锈、焊渣及其他杂物为止。
11.0.21 输送高纯氧气的管道,其管材、阀门、附件等的选择应按现行国家标准《洁净厂房设计规范》GB 50073的有关规定执行。
条文说明
11.0.1 为便于焊接、安装、操作及维护,氧气管道一般都采用架空敷设。由于氧气密度大于空气,易于积聚在低洼处,只有在下列情况,如小管径管道、建造架空支架困难或难以架空通过时,可采用不通行地沟或直接埋地敷设。
11.0.2 制订本条的依据是:
1 为了防止氧气管道火灾事故扩大,所以规定支架应采用不燃烧体材料制作。本款为强制性条款。
2 为了防止氧气管道发生火灾,应避免电火花的产生,所以规定除氧气管道本身需用的,如自动控制的导线可与氧气管道同一支架敷设外,其他导电线路不应同一支架敷设。本款为强制性条款。
3 氧气管道有火灾危险,所以本条规定,只允许沿氧气生产车间(如制氧、压氧、氧灌装车间等)及使用氧气的车间建筑物墙外或屋顶上敷设,不允许沿其他建筑物敷设,本次修订维持原条文内容。
4 本次修订仅对附录B中个别最小垂直净距,参照现行国家标准《工业企业总平面设计规范》GB 50187的有关规定作了补充和调整。
5 原规范中架空氧气管道与其他管线共架敷设及彼此之间净距要求的规定是可行的。本次修订时,根据现行国家标准《深度冷冻法生产氧气及相关气体安全技术规程》GB 16912的要求,在附录C中增加了表注4、表注5的内容。
6 为便于架空氧气管道上的阀门操作,本款按目前实际工程中装设有操作平台的状况作出了规定。
7 为防止含湿氧气管道在寒冷地区结冻堵塞,应采取防护措施,如采用管道保温,若有条件最好是加设干燥装置,脱除水分后再经管道输送等。
11.0.3 本条制订的依据是:
1 本款为强制性条款,主要是从氧气一旦泄漏具有火灾危险的角度作出的规定,在进行氧气管道布置时,应严格遵守。
2 本款为强制性条款,氧气管道采用不通行地沟敷设时,沟上应采用不燃烧体材料制作的盖板,该盖板应具有防止火花、油料等可燃物料落入地沟,当在室外时,应防止雨水侵入。氧气管道在地沟内敷设时,万一泄漏,氧气将沉积在沟内(氧气的密度大于空气),如果与油品管道、导电线路同沟敷设,极易引起火灾危险。腐蚀性介质一旦泄漏,易引发氧气管道泄漏,所以作了十分严格的规定。
3 管路中的阀门或法兰连接点是容易发生泄漏的地方,而泄漏的氧气易积聚在低洼处,如操作人员抽烟或动火检修时都会引起火灾危险,所以直埋或不通行地沟敷设的氧气管道不应装设阀门或法兰连接点。当必须设阀门时,应设不能下人的阀门操作井。本款为强制性条款。
4 氧气管道与同一使用目的的燃气管道如乙炔气等同地沟敷设时,为防止气体泄漏在沟内积聚形成燃烧爆炸性气体,故应将沟内填满沙子,不让气体有积聚的空间,本款为强制性条款。
5 本款是原规范的修改条文,将原附录中“应设套管”的规定放到了条文中。
6 埋地氧气管道与建筑物、道路及其他埋地管线之间的间距与现行国家标准《工业企业总平面设计规范》GB 50187是一致的。
7 管道的防腐蚀等级应根据土壤的腐蚀性等级确定。参照有关国家现行标准的要求,表3给出了土壤腐蚀性等级及防护等级。
表3 土壤腐蚀等级及防腐蚀等级

8 氧气管道相对不燃气体管或水管损坏概率较大,一旦损坏,危险性也大,布置在上面便于进行检修。
11.0.4 本条制订的依据是:
1 本款为强制性条款。由于生活间、办公室内的人员没有相关氧气安全意识,一旦因穿越氧气管道发生泄漏后,易引发着火事故,造成人员、财产损伤,为此作出“不得穿过”的规定。
2 为了便于操作维修,避免或减少泄漏时的不安全性,车间内氧气管道一般都采用架空敷设。
5 若车间内发生事故时,为即时切断氧气源,本款规定应在用户车间入口处装设切断阀,并设放散管。
6 为避免氧气管道放散的氧气在室内或操作面积聚,引起着火事故,所以本款规定氧气放散管应引至室外等,并强调引至无明火的安全场所。
7 若氧气管道通过高温作业及火焰区域,一旦处理不当,造成氧气泄漏时,可能引发着火事故,所以作了“不得穿过”的规定。为了防止受热使气体温度、压力及热膨胀等偏离原设计条件,所以要求在该管段增设隔热措施。
8 管道穿过墙壁或楼板时,为使管道不受外力作用并能自由伸缩,应敷设在套管内。作出套管内不得有焊缝的规定,既便于检查焊缝质量或氧气泄漏情况,也可防止因焊缝处泄漏,不能即时发现而引发着火事故。为防止氧气从墙壁或楼板的一侧漏入另一侧,引起意外危险,应将管子与套管间的间隙用不燃烧的软质材料填实。
9 不使用氧气的房间,氧气管道不应穿过,但有时确难避免,所以本规范规定,若必须穿过不使用氧气的房间时,氧气管不得设有阀门、法兰或螺纹连接的接口,并应采取防止氧气泄漏的措施。这些措施包括设置外套管防止氧气漏入房间,设有氧气浓度报警和通风设施及时排除泄漏氧气等。
10 当通过管道往切割、焊接用户供氧时,将每个供氧嘴头(连接软管用的管嘴)及其切断阀设在金属保护箱内,只允许由经过批准的操作工或检修工使用或维修。这样可以防止其他人任意动用导致发生火灾或其他危险,也可防止被油脂污染或撞碰损伤。金属保护箱应有能自然通风的孔隙,防止氧气在箱内积聚。
11.0.5 本条为强制性条文。调查资料表明,铁锈等杂物常常是氧气系统引发燃烧事故的主要因素。为了防止管道中铁锈、焊渣或其他可燃物质进入氧气压缩机引起磨损或摩擦燃烧事故,在氧压机一级吸氧管道上应装设过滤器;在装有流量调节阀、压力调节阀的管道上,由于氧气通过这些阀门时,流速很高,当管道中有铁锈等杂质时,将伴随气流对内壁产生激烈冲击和摩擦从而导致燃烧,因此在这类阀门的上游侧也应装设过滤器。过滤器的壳体、滤芯等的材质不能采用可燃、难燃材料,只能采用本条规定的材料,一般过滤器壳体采用不锈钢或铜基合金,过滤器的滤芯应采用镍铜合金、铜或铜基合金。
11.0.7 本条为强制性条文。氧气密度比空气大,泄漏后积聚在通行地沟或半通行地沟中,容易引发火灾;氮气和氩气均是窒息性气体,泄漏积聚后对维修人员的安全是严重威胁。
11.0.8 氧气在管道中的允许流速,本次修订是根据现行国家标准《深度冷冻法生产氧气及相关气体安全技术规程》GB 16912和欧洲工业气体协会(EUROPEAN INDUSTRIAL GASES ASSO-CIATION)《氧气管道系统》(OXYGEN PIPELINE SYSTEMS)IGC DOC 13/02/E作出的规定。
11.0.9 根据近年来国内外的实践,对氧气管道材质选用本次修订作了较大修改,主要修改内容如下:
(1)工作压力的划分由原规范中“≤1.6、>1.6~≤3.0、≥10MPa”三个压力区间修改为“≤0.6、0.6~3.0、3.0~10.0、>10.0”及“液态氧气管道”五个区间。补充了原规范缺失的3.0MPa~10.0MPa压力范围及液氧管道的材质要求。
(2)参照现行国家标准《深度冷冻法生产氧气及相关气体安全技术规程》GB 16912中有关氧气管道材质选用表的规定而修订。
(3)管道材质标准按照最新标准取代了淘汰标准。
11.0.10 国内实践中多次发生闸阀类阀门手动开关时,氧气流速突然改变,使管道内的铁锈等颗粒冲撞、摩擦激发能量而引燃、引爆的事故。为避免此类事故发生,在压力大于0.1MPa的氧气管道上不得采用闸阀。
在欧洲工业气体协会的《氧气管道系统》IGC DOC 13/02/E中,要求在手动作业的隔离阀设旁通阀,在隔离阀打开前以旁通阀平衡前后压力,避免快速增压和高速、紊流现象的发生,为此本条第2款依据现行国家标准《深度冷冻法生产氧气及相关气体安全技术规程》GB 16912的相关规定作出了规定。
氧气阀门材质要求与原规范基本一致,压力分级与现行国家标准《深度冷冻法生产氧气及相关气体安全技术规程》GB 16912中的规定协调一致,并增加采用镍及镍基合金的规定。
11.0.11 氧气管道法兰用垫片除了应满足压力、温度条件外,还要防止垫片老化或被气流冲刷裂成碎粒落入管内,随气流撞击管壁引起火灾。橡胶石棉板结构成分中没有阻燃材料,且在气流冲刷下易破碎,其碎片在压力氧中属可燃、易燃危险引燃物料;金属包覆垫片也以与上述理由相似的原因在本次修订中予以去除,在氧气管道中不得使用。依据现行国家标准《深度冷冻法生产氧气机相关气体安全技术规程》GB 16912中有关氧气管道法兰用垫片的相关规定,增加了采用柔性石墨复合垫片、镍及镍基合金垫片的规定。
11.0.12 氧气管道中的弯头在许多资料中都提到它的危险性。诸如,在弯头部位气体偏流,产生很高的流速,当气体中有铁锈及可燃杂质时,将产生剧烈的摩擦、撞击导致燃烧;在弯头处由于气流的冲刷,使弯曲部管壁减薄并产生铁粉引起燃烧;折皱弯头会打乱层状气流,形成潜在危险。为此本条第1款规定:氧气管道严禁采用折皱弯头,并为强制性条款。
氧气管道上弯头的选用按目前国内外的实践情况分析,原规范的要求基本是合适的,本次修订中取消了有关焊接弯头采用的规定,改为设计压力不大于0.1MPa的卷焊钢管可采用斜接弯头来代替,并增加了铜镍合金、铜或铜基合金无缝弯头的规定。
11.0.13 本条规定了氧气管道异径接头、分岔头的选用。
1 异径接头是流速急剧变化的部分,希望变径部分断面要逐渐收缩并有平滑的内壁。目前国内已能订购钢制对焊无缝和钢制有缝对焊异径接头,制作质量能保证。如必须现场焊接制作时,则应按设计图纸的要求加工焊接,变径部分长度不宜小于两端直径差值的3倍。
2 管道的分岔头和弯头一样具有容易引发着火燃烧的危险。目前国内钢制对焊无缝等径或异径三通已商品化。如不能取得时,则宜将分岔头作为管件按设计图纸要求在工厂或现场预制并进行精细加工,做到接口处圆滑,无锐边、突出部及焊瘤,焊缝打磨平滑,不得在现场临时开孔插接。
11.0.14 输送湿气体或要做水压试验的管道,设有不小于0.003的坡度,有利于排除管内积水。
11.0.15 为了适应氧气管道因使用温度与安装温度的温差和温差变化引起的膨胀和收缩,应当考虑其热(冷)补偿问题。补偿方法宜采用自然补偿。
11.0.16 氧气管道的连接应采用焊接连接,以防止产生泄漏,只有在与设备、阀门等连接处,方可采用法兰或螺纹连接。为防止氧气接触油脂类物质,本条规定螺纹连接处应采用聚四氟乙烯作为填料,目前从国外、国内氧气管道的敷设情况来看,几乎全是采用这种方式,并被认为是严密性好又安全的方法。
11.0.17 氧气管道的静电接地,目的是消除由于管内气流摩擦等产生的静电。氧气系统中的静电聚集是引发着火燃烧的重要因素,为确保安全稳定运行,本条为强制性条文。
11.0.18 氧气管道的阀门出口处气流状态急剧变化,希望有一个直管段以改善流动状态,以便不产生涡流。本条参照现行国家标准《深度冷冻法生产氧气及相关气体安全技术规程》GB 16912中的有关规定,制订了“宜设长度不小于5倍管道公称径且不小于1.5m的直管段”的规定。
11.0.19 氧气管道能否确保安全运行,除了正确的设计和操作外,很大程度上取决于施工和安装的水平和质量。氧气管道与一般工业管道相比有它的特点,对施工有些特定的要求,目前国内现行国家标准《工业金属管道工程施工规范》GB 50235和《现场设备、工业管道焊接工程施工规范》GB 50236是针对所有各种工业管道施工验收作出的基本规定,对氧气管道来说,需作局部的补充。本条就是根据国内外经验提出的补充要求。
1 氧气管道中如有铁锈,焊渣等杂物时,被高速气流带动与管壁产生摩擦,容易发生燃烧着火危险,特别是管内壁有毛刺或焊瘤等突出物时,更增加了碰撞起火的危险,故提出本款的要求。
2 氧气与油脂接触后,极易引起着火燃烧事故,所以管道、阀门、管件等凡与氧气接触的部分都应严格脱脂。脱脂剂在我国长期以来是采用四氯化碳,这是一种易挥发的有毒有机液体,容易引起工作人员中毒,现在国家已明令禁止使用。脱脂要求可按本条所列规范或施工设计文件要求执行。根据国内氧气管道安装的现实情况,有些管道、阀门及管件等虽然经过除锈、脱脂并经检验合格,但在安装过程中,没有采取必要的措施来保持它们的洁净状态,而是任意放置在露天,因而不能有效防止油脂污染或有可燃物等杂质进入,待到管道安装完毕再来检查、清除就很困难。本条规定脱脂合格后的氧气管道应封闭管口,并宜充入干燥氮气。
3 碳钢管道焊缝采用氩弧焊打底,不锈钢管道采用氩弧焊,是保证焊接质量,防止焊渣进入管道内的一项重要措施。国内氧气管道建设工程中已普遍采用。
4 本款对原规范条文进行了修改。根据氧气管道特点,规定了氧气管道不同压力等级的焊缝射线照相检验的比例及其合格等级。
5 氧气管道强度试验和严密性试验是检验管道施工安装最终质量的重要手段。一般管道的强度试验是做水压试验,但实践经验说明,氧气管道水压试验后,除去水分很困难,易使管道内壁产生锈蚀,影响安全运行。据调查,我国大多数建设工程已采用气压强度试验代替水压强度试验。依据现行国家标准《深度冷冻法生产氧气及相关气体安全技术规程》GB 16912中的相关规定,在本款中规定小于或等于4.0MPa的氧气管道采用空气或氮气做气压强度试验,试验压力见表12.0.19;对压力大于4.0MPa的氧气管道,为了安全,采用水压强度试验,试验压力取1.5倍设计压力。管道的严密性试验均采用气压试验,试验压力按设计压力进行。在做强度试验时,特别是气压强度试验时,应制订严密的安全措施,并经有关安全部门批准后方可进行。
11.0.20 管道的吹扫可根据具体情况分段进行,吹扫气体流速不应小于20m/s,且不低于氧气设计流速。吹扫检查可在气体排出口用蒙有白布或涂有白漆的靶板检查,以靶板上无铁锈、尘土、水分及其他脏物为合格。
- 上一节:10 采暖和通风
- 下一节:附录A 氧气站内各类房间的火灾危险性类别及最低耐火等级