附录Q 钢筋混凝土梁腹开圆形孔洞的设计与构造
Q.0.1 圆形孔洞位置宜设于剪力较小的跨中1/3梁的净跨度区域内,亦可设于梁端1/3梁的净跨度区域内;洞高度中心与梁高度中心的偏心宜偏向受拉区,其尺寸及位置的限值应符合表Q.0.1和图Q.0.1的要求。
表Q.0.1 圆形孔洞尺寸及位置

注: l为梁的净跨度;d0为孔洞直径;h为梁截面高度;hc为洞顶至梁顶的截面高度;
ht为洞底至梁底的截面高度;s1为孔洞中心到柱边的距离;s2为孔洞边缘到柱
边的净距离,s3为两孔洞中心之间的距离;e0为孔洞中心到梁高中心的偏心距。
图Q.0.1 圆形孔洞位置
Q.0.2 当孔洞直径小于等于梁高的0.2倍且小于等于150mm时,孔洞中心位置应符合下式的要求:

式中:—(负号)——表示偏向受压区;
e0——孔洞中心到梁高中心的偏心距(mm);
s2——孔洞边缘到柱边的净距离(mm)。
Q.0.3 当孔洞直径小于梁高的0.1倍且小于100mm时,孔洞周边可不设补强钢筋。
Q.0.4 当孔洞直径小于梁高的0.2倍且小于150mm时,其周边钢筋可按图Q.0.4构造配置。弦杆洞边纵向钢筋可采用2
10~2
12,弦杆箍筋宜大于
6,其间距不应大于0.5倍弦杆有效高度,且不应大于100mm;孔洞两侧补强钢筋宜靠近孔洞边缘,补强斜筋可采用2
12,其倾角可取45°。
Q.0.5 当孔洞直径大于等于梁高的0.2倍或大于等于150mm时,孔洞周边的配筋应按计算确定,并应符合下列规定:
1 不应小于按构造要求设置的钢筋;
2 两侧箍筋应贴近孔边布置,其范围应符合下列表达式的要求:

式中:c——孔洞两侧箍筋的布置范围(mm);
hc0——孔洞受压弦杆截面的有效高度(mm);
h0——梁截面有效高度(mm)。
Q.0.6 当T形截面梁翼缘位于受压区时(图Q.0.6),可按矩形截面设计,可不计入翼缘的有利作用。当截面尺寸受到限制需要计入翼缘的有利作用时,孔洞周边的配筋除应符合图Q.0.4所示构造的要求外,尚应符合下列要求:
1 受压弦杆伸入腹板的垂直箍筋的直径应大于在翼缘内的箍筋直径一个等级,且伸入腹板的垂直箍筋截面积应满足受压弦杆计算所需的全部箍筋截面积;
2 孔洞范围内的箍筋间距应按计算确定;孔洞以外和受压弦杆下缘的纵向钢筋以内的翼缘中宜设置箍筋,其间距应与孔洞边缘箍筋的间距相同。

图Q.0.4 圆形孔洞周边的配筋构造示意
As1-孔洞受压弦杆上缘的纵向钢筋;As2-孔洞受压弦杆下缘的纵向钢筋;
As3-孔洞受拉弦杆上缘的纵向钢筋;As4-孔洞受拉弦杆下缘的纵向钢筋;
Acsv-孔洞受压弦杆的箍筋;Atsv-孔洞受拉弦杆的箍筋;
Av-孔洞边的补强箍筋;Ad-孔洞边的补强斜筋;
sc-受压弦杆的箍筋间距;st-受拉弦杆的箍筋间距;
s3-两孔洞中心之间的距离;la-钢筋的锚固长度;
c-孔洞两侧箍筋的布置范围;d-钢筋直径;
d0-孔洞直径;h-梁的截面高度

图Q.0.6 T形截面开圆孔梁的配筋构造
As1-孔洞受压弦杆上缘的纵向钢筋;As2-孔洞受压弦杆下缘的纵向钢筋;
As3-孔洞受拉弦杆上缘的纵向钢筋;As4-孔洞受拉弦杆下缘的纵向钢筋;
Acsv-孔洞受压弦杆的箍筋;Atsv-孔洞受拉弦杆的箍筋;
Av-孔洞边的补强箍筋;sc-受压弦杆的箍筋间距;
sv-孔洞边缘的箍筋间距;Acsv1-伸入腹板的垂直箍筋;
Acsv2-翼缘内的箍筋;la-钢筋的锚固长度;
c-孔洞两侧箍筋的布置范围;b'f-翼缘的有效宽度
Q.0.7 孔洞周边的补强钢筋,应符合下列规定:
1 截面尺寸应符合下列表达式的要求:
矩形截面和翼缘位于受拉区的T形截面梁:

翼缘位于受压区的T形截面梁:

式中:V——孔洞中心截面处剪力设计值(N);
b——矩形截面宽度和T形截面梁腹板宽度(mm)。
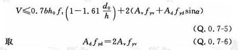
2 孔洞两侧的补强钢筋应符合下列表达式的要求:
矩形截面梁:

T形截面梁:

式中:λ——梁的剪跨比;
M——孔洞中心截面处的弯矩设计值(N·mm);
Av——孔洞一侧c值范围内的垂直箍筋面积(mm2);
Ad——孔洞一侧c值范围内的倾斜钢筋面积(mm2);
fyv——孔洞一侧的垂直箍筋抗拉强度设计值(N/mm2);
fyd——孔洞一侧的倾斜钢筋抗拉强度设计值(N/mm2)。
3 孔洞上、下弦杆内的箍筋应符合下列表达式的要求,翼缘位于受拉区的T形截面梁,可按矩形截面梁进行设计;当翼缘位于受压区时,可计入翼缘的有利作用:

式中:b'f——翼缘的有效宽度,应取2倍梁腹板宽度和1倍梁腹板宽度加翼缘厚度的2倍之和的较小值(mm);
h'f——翼缘厚度(mm);
β——剪力分配系数,宜取0.8。
4 孔洞受压弦杆下缘的纵向钢筋和受拉弦杆上缘的纵向钢筋,应符合下列要求,并不得小于受压弦杆上缘的纵向钢筋:
1)孔洞直径小于等于200mm时,可采用2Φ12;
2)孔洞直径大于200mm且小于等于400mm时,可采用2Φ14;
3)孔洞直径大于400mm且小于等于600mm时,可采用2Φ16。