附录J (规范性附录)安全阀试验程序及样品数量
J.1 试验程序说明
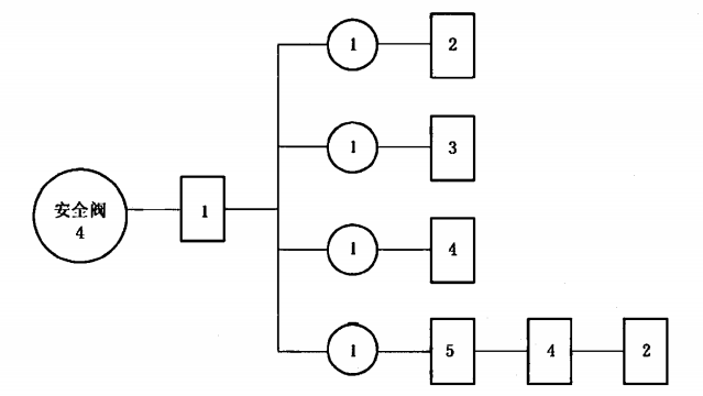
J.1.1 试验序号
试验程序如下:
1) 工作压力(6.11.2.1);
2) 整定压力(6.11.2.2);
3) 强度要求(6.11.2.3);
4) 密封要求(6.11.2.4);
5) 耐盐雾腐蚀性能(6.11.2.5)。
J.1.2 说明
上述试验编号在图J.1中用方框中的数字表示,圆圈中的数字为试验所需的样品数。
J.2 试验程序图
试验程序图如图J.1所示。

图 J.1 安全阀试验程序图
J.1.1 试验序号
试验程序如下:
1) 工作压力(6.11.2.1);
2) 整定压力(6.11.2.2);
3) 强度要求(6.11.2.3);
4) 密封要求(6.11.2.4);
5) 耐盐雾腐蚀性能(6.11.2.5)。
J.1.2 说明
上述试验编号在图J.1中用方框中的数字表示,圆圈中的数字为试验所需的样品数。
J.2 试验程序图
试验程序图如图J.1所示。

图 J.1 安全阀试验程序图