附录J 蓄冰装置容量与双工况制冷机的空调标准制冷量
J.0.1 全负荷蓄冰时,蓄冰装置有效容量、蓄冰装置名义容量、制冷机标定制冷量可按下列公式计算:

式中:
——蓄冰装置有效容量(kWh);
——蓄冰装置名义容量(kWh);
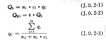
——建筑物逐时冷负荷(kW);
——夜间制冷机在制冰工况下运行的小时数(h);
——制冷机制冰时冷能力的变化率,即实际制冷量
与标定制冷量的比值。活塞式冷机可取0.60~
0.65,螺杆式冷机可取0.64~0.70,离心式(中
压)可取0.62~0.66,离心式(三级)可取0.72
~0.80;
——制冷机的标定制冷量(空调工况)(kWh);
——蓄冰装置的实际放大系数(无因次)。
J.0.2 部分负荷蓄冰时,蓄冰装置有效容量、蓄冰装置名义容量、制冷机标定制冷量可按下列公式计算:

式中:
——白天制冷机在空调工况下的运行小时数(h)。
J.0.3 若当地电力部门有其他限电政策时,所选蓄冰量的最大小时取冷量,应满足限电时段的最大小时冷负荷的要求,并符合下列规定:
1蓄冰装置有效容量应符合下列规定:

2为满足限电要求所需蓄冰槽的有效容量应符合下列规定:

3为满足限电要求,修正后的制冷机标定制冷量应符合下列规定:

式中:
——为满足限电要求所需的蓄冰槽容量(kWh);
——所选蓄冰设备的最大小时取冷率;
——限电时段空调系统的最大小时冷负荷(kWh);
——修正后的制冷机标定制冷量(kWh)