附录C 非平堆散装粮食压力计算
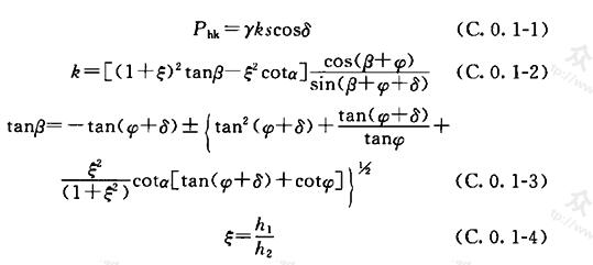
C.0.1 非平堆散装粮食对仓壁计算深度s处单位面积上的水平压力标准值应按下列公式计算(图C.0.1):
式中:Phk——深度s处对仓壁的压力标准值(kN/m2);
k——平堆时粮食侧压力系数;
s——粮食水平面与仓壁交点至计算截面的高度(m);
β——粮食滑动楔体的滑动面与墙面的夹角(°),可由式C.0.1-3和C.0.2-3求出;
φ——粮食的内摩擦角(°),按本规范附录B取值;
α——加堆的斜面与水平面的夹角(°),自然堆积时与粮食的自然休止角相同;
δ——粮食对灰砂粉刷面的外摩擦角(°),按本规范附录B取值;
γ——粮食重度(kN/m3),按本规范附录B取值;
h1——加堆的高度(m);
h2——靠墙面的堆粮高度(m)。
式中:Ffk——粮食对单位长度仓壁的竖向摩擦力标准值(kN/m)。
k——平堆时粮食侧压力系数;
s——粮食水平面与仓壁交点至计算截面的高度(m);
β——粮食滑动楔体的滑动面与墙面的夹角(°),可由式C.0.1-3和C.0.2-3求出;
φ——粮食的内摩擦角(°),按本规范附录B取值;
α——加堆的斜面与水平面的夹角(°),自然堆积时与粮食的自然休止角相同;
δ——粮食对灰砂粉刷面的外摩擦角(°),按本规范附录B取值;
γ——粮食重度(kN/m3),按本规范附录B取值;
h1——加堆的高度(m);
h2——靠墙面的堆粮高度(m)。
图C.0.1 粮食压力计算模型
C.0.2 非平堆散装粮食对单位长度仓壁的竖向摩擦力标准值应按下列公式计算:
- 上一节:附录B 主要粮食的设计用物理参数
- 下一节:本规范用词说明