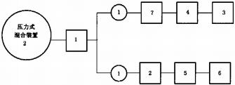
附录B(规范性附录)压力式比例混合装置试验程序及样品数量
B.1 试验程序说明
B.1.1 试验序号
1)外观检查(6.1);
2)混合比试验(6.6);
3)强度试验(6.2);
4)密封试验(6.3);
5)压力损失(6.7);
6)耐水冲击要求(6.4);
7)工作可靠性试验(6.5)(带活动部件的比例混合装置)。
B.1.2 说明
a)方框中的数字为试验序号;
b)圆圈中的数字为试验所需试件数。
B.2 试验程序
试验程序见图B.1。
B.1.1 试验序号
1)外观检查(6.1);
2)混合比试验(6.6);
3)强度试验(6.2);
4)密封试验(6.3);
5)压力损失(6.7);
6)耐水冲击要求(6.4);
7)工作可靠性试验(6.5)(带活动部件的比例混合装置)。
B.1.2 说明
a)方框中的数字为试验序号;
b)圆圈中的数字为试验所需试件数。
B.2 试验程序
试验程序见图B.1。
图B.1 压力式比例混合装置试验程序图