附录A 轴心受压构件的稳定系数φ


A.0.1 a类截面轴心受压构件的稳定系数应按表A.0.1取值。
表A.0.1 a类截面轴心受压构件的稳定系数
a类截面轴心受压构件的稳定系数
A.0.2 b类截面轴心受压构件的稳定系数应按表A.0.2取值。
表A.0.2 b类截面轴心受压构件的稳定系数φ
b类截面轴心受压构件的稳定系数φ
A.0.3 c类截面轴心受压构件的稳定系数应按表A.0.3取值。
表A.0.3 c类截面轴心受压构件的稳定系数φ
c类截面轴心受压构件的稳定系数φ
A.0.4 d类截面轴心受压构件的稳定系数应按表A.0.4取值。
表A.0.4 d类截面轴心受压构件的稳定系数φ
d类截面轴心受压构件的稳定系数φ
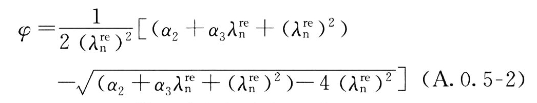
A.0.5 当构件的λ/ε k值超出本标准表A.0.1~表A.0.4的范围时,φ值应按下列公式计算:
    当 ≤0.215时:
    当 >0.215时:
    式中:α 1、α 2、α 3——系数,应根据本标准表5.2.2-1、表5.2.2-2的截面分类,按表A.0.5取值。
表A.0.5 系数α1、α2、α3
系数α1、α2、α3
 
收藏 书签 笔记 评论 展开
条文

目录导航